EasyManua.ls Logo

SKF P203 - Operational Limits of the Intermittent Empty Signal

SKF P203
84 pages
Print Icon
To Next Page IconTo Next Page
To Next Page IconTo Next Page
To Previous Page IconTo Previous Page
To Previous Page IconTo Previous Page
Loading...
23
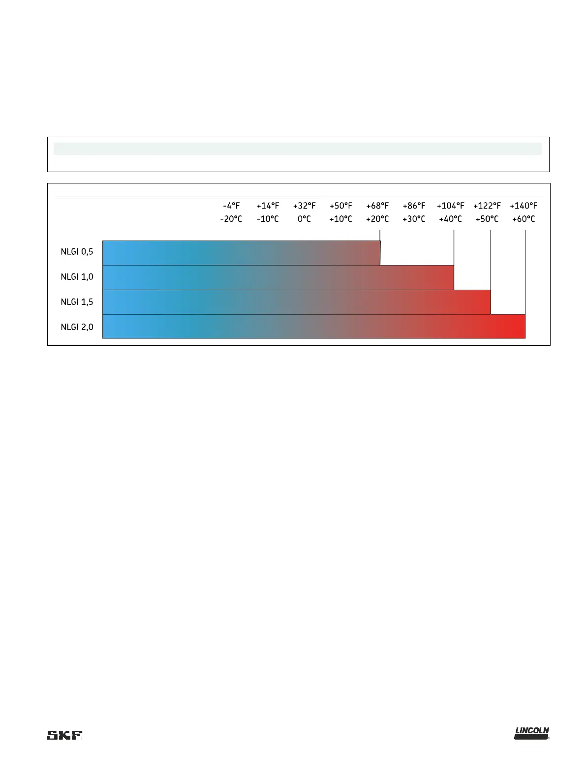
4.5 Operational limits of the intermittent empty signal
For the correct functioning of the intermittent empty signal, the following lubricant consistencies must be maintained. The
correct functioning of the intermittent empty signal is not guaranteed above the specified temperature range. The lower
temperature ranges are contingent on the suitability of the respective lubricant for these temperatures. Excessively high
consistency of the lubricant could otherwise lead to malfunctions such as interruption of the lubricant feeding or possibly to
damage to the pump (e.g., bending of the stirring paddle).
NOTE
The intermittent empty signal is not suitable for lubricating greases with an NLGI class ≤ 0.
Fig.
14
Operational limits of the intermittent empty signal

Table of Contents

Related product manuals