EasyManua.ls Logo

Stulz C7000 - Page 69

Stulz C7000
198 pages
Print Icon
To Next Page IconTo Next Page
To Next Page IconTo Next Page
To Previous Page IconTo Previous Page
To Previous Page IconTo Previous Page
Loading...
69
16,7%
70%
100%
© STULZ GmbH – all rights reserved EN/06.2019/G57
C7000 INSTRUCTIONS fOR A/C UNITS
ICC
T> Setpoint
2nd compr.
2
nd compr.
T< Setpoint
ICC
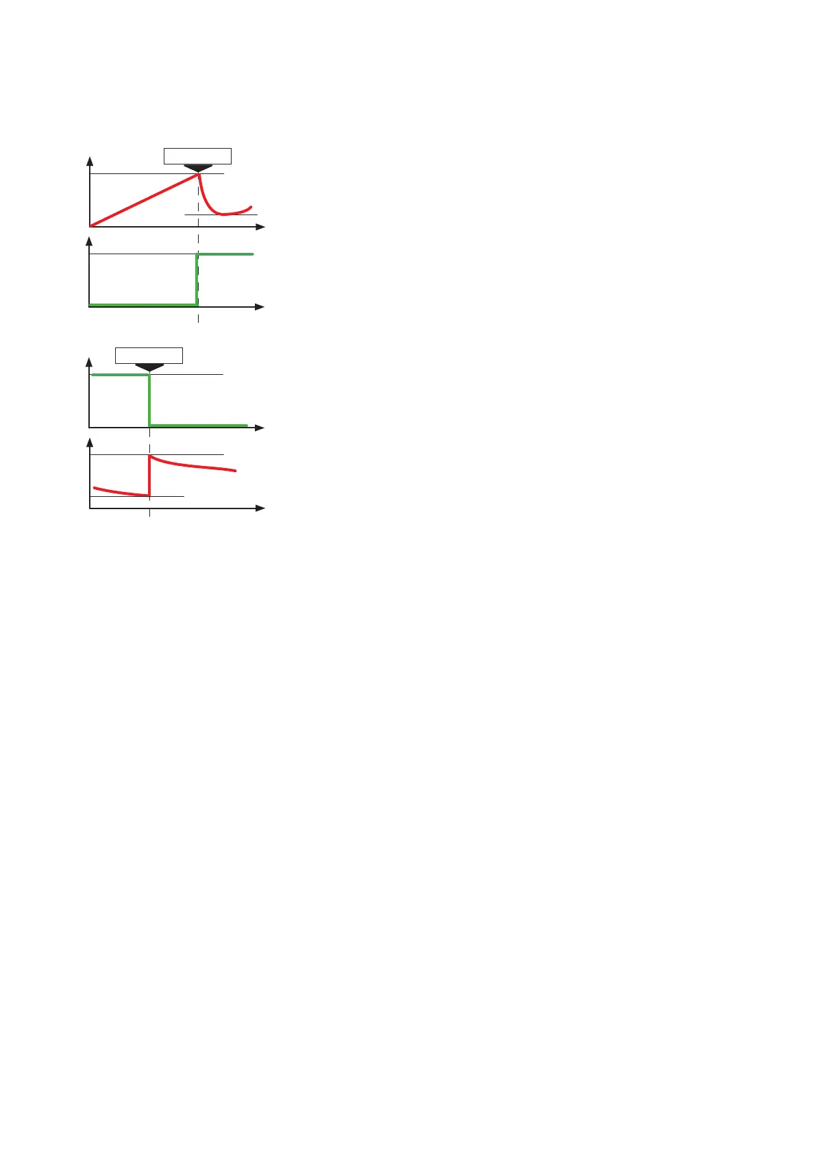
In units with two refrigerant circuits the ICC is always assigned to the first
refrigerant circuit. The second refrigerant circuit is equipped with an on/off
compressor which has to be configured in the compressor menu. A "compres-
sor 1" for the first refrigerant circuit may not be configured.
As soon as the compressor of the ICC has reached its maximum speed (120
rev/s, 100%) and the temperature lies above the setpoint, compressor 2 is
switched on and the speed of the first compressor is correspondingly reduced.
Then the speed of the first compressor is controlled according to the cooling
requirement.
When the second compressor is in operation, the temperature is beneath the
setpoint and the first compressor (ICC) has reached the minimum speed, the
second compressor is switched off and the first compressor is raised to 70%
of its maximum speed. Then the speed of the first compressor is controlled
according to the cooling requirement.
The start values and hysteresises in the compressor menu are not evaluated by
the control.

Table of Contents

Related product manuals