EasyManua.ls Logo

Thales 421 - Measure Course Position at Threshold

Thales 421
256 pages
Print Icon
To Next Page IconTo Next Page
To Next Page IconTo Next Page
To Previous Page IconTo Previous Page
To Previous Page IconTo Previous Page
Loading...
LLZ 421
Alignment Procedure LLZ−2F (LPD) Operation and Maintenance
ILS 420
8−12 Ed. 07.08SOAC
g) Set parameter ’CRS CSB RF−Level’ of TX1 to 0 W.
h) Set parameter ’CLR CSB RF−Level’ of TX1 to 7.5 W.
i) Measure the RF level of the CLR transmitter only.
The difference (RF Level
course
only
RF Level
clearance
only
) between the two results in f) and i) should
be
16 dB. If necessary, reduce CLR CSB level. Refer to the LPD 2F antenna manual. Initial infor-
mative measurements can also be taken using the optional nearfield course dipole, though the
level differences which are obtained will be less than in the farfield due to nearfield disturbances
in the course system.
j) Set parameter ’CRS CSB RF−Level’ of TX1 to 15 W.
k) Set parameters ’CRS SBO Amplitude’ and ’CLR SBO Amplitude’ to noted down values as deter-
mined in Section 8.3.6 and 8.3.7.
8.3.9 Measure Course Position at Threshold
Measure DDM with the portable DDM instrument at the threshold along the nominal course line at
at least 3 different points at a distance of approx. 10 m, and form the mean value. The mean value
should not deviate from the nominal course line by more than ±2m. If not repeat the null setting for
the course antenna. To perform this procedure refer to the Part 3 of the LLZ−manuals: Antenna Sys-
tem Description for LPD 2F Antenna, Sect. 9.5.2 (14/10E) or 9.5.4 (20/10E).
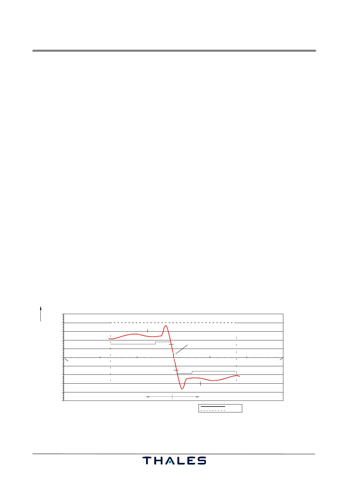
8.3.10 Performing Ground Check on Measurement Circle
Perform a ground check on the measurement circle (see Fig. 8−7) for each transmitter. Measure the
DDM and SDM on each ground check point (−35°, −30°, , 0°, , +30°, +35°) and draw a diagram
with these values. As example, a typical diagram resulting from measurement with a 20 element LPD
antenna is shown in Fig. 8−1.
50 %
40 %
30 %
20 %
10 %
0%
−10 %
−20 %
−30 %
−40 %
−50 %
−60° −40° −20° 20° 40° 60°
Localizer (antenna 20 element)
DDM
SDM
NOTE: Typical DDM and SDM values. Result of measurement depends on runway length and threshold distance.
150 Hz predominant
90 Hz predominant
linear range (±15.5 %)
CLR Width point
CLR Width point
DDM,SDM
Runway
−35° 35°
Fig. 8−1 Example diagram for ground check on measurement circle (LPD, 20 element)

Table of Contents