EasyManua.ls Logo

YASKAWA MP2300 - Troubleshooting When ERR Is Lit

YASKAWA MP2300
267 pages
Print Icon
To Next Page IconTo Next Page
To Next Page IconTo Next Page
To Previous Page IconTo Previous Page
To Previous Page IconTo Previous Page
Loading...
6
Maintenance and Inspection
6.4.3
Troubleshooting When ERR is Lit
6-12
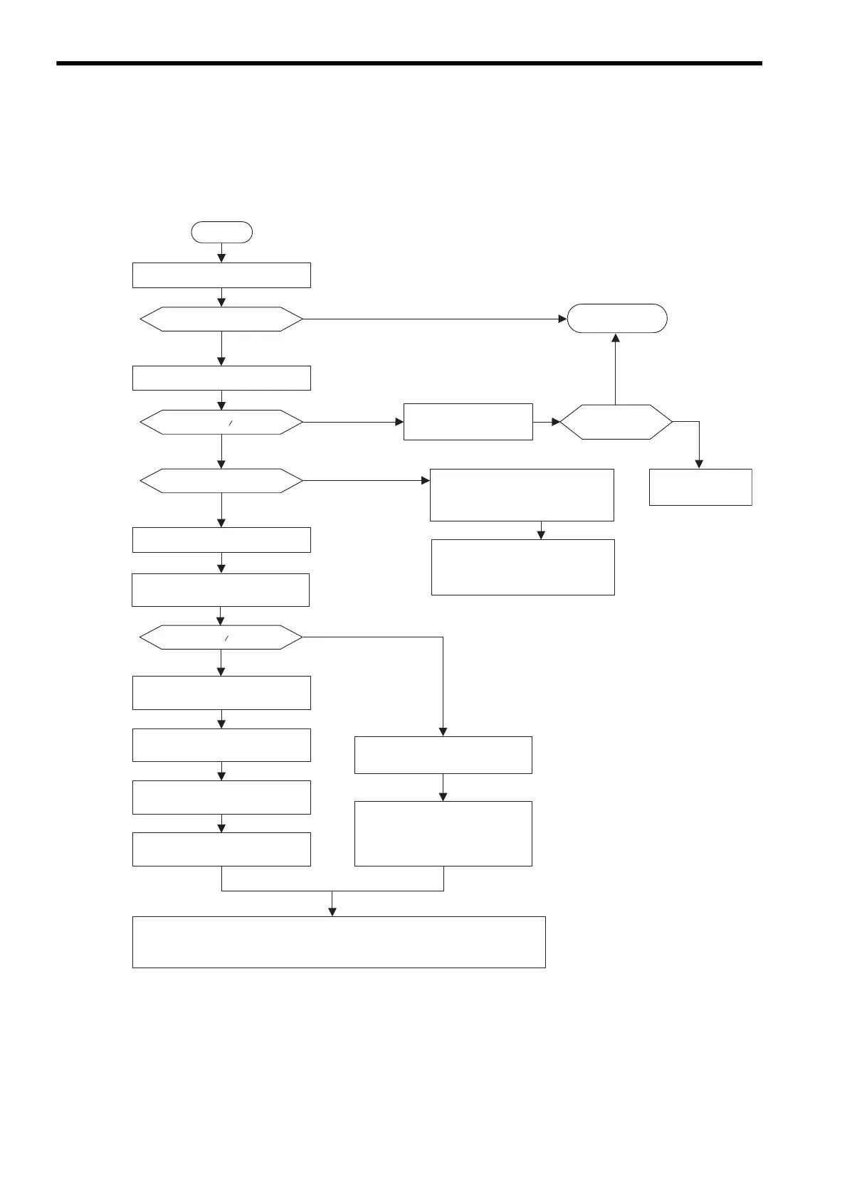
6.4.3 Troubleshooting When ERR is Lit
When the ERR lamp of the LED indicators on the front panel of MP2300 lights up, occurrence of a serious failure,
hardware failure or user program error is likely. Stop the MP2300 by setting the DIP switch No. 6 (STOP) of SW1 to
ON, and then investigate the cause using the following flowchart.
For details on the system registers from SW00050 to SW00059, refer to 6.4.5 ( 2 ) System Error Status.
Refer to 5.5.3 ( 1 ) Precautions When Setting or Changing the Scan Time for precautions when setting the scan
time.
START
NO
Replace the Module.
(Hardware failure)
NO
(System error)
NO
NO
(The faulty program is
a drawing.)
NO (The reference source is a function)
SW00050 = 0001H?
YES
(Watchdog timer timeout)
YES
(User program error)
YES
(Hardware failure)
SW00055 = 0008H?
YES
(The faulty program is a function)
YES (The reference source is a drawing)
SW00057 = 0008H?
Check to see that SW00056 = 8000H.
Check the drawing that may be the
cause.
If no error is found in the drawing,
check the set scan time.

Check the scan time setting

Increase the scan
time.
Check SW00059 to learn the step
number that references the function.
Check all functions to see if there is
a function that is referenced in the
step number, because the function from
which the step number is referenced
could not be specified.
Open the drawing that is the reference
source by using the MPE720 ladder
editor.
Check SW00058 to learn the number of
the drawing that references the function.
Check SW00057 to learn the type of
drawing (H, L, I, A, or function) that
references the function.
Check SW00059 to learn the step
number that references the function.
Find the function name that is written
in the step number.
Check the contents of the function, and correct the error.
(Check to see if there is an error such as infinite loop that may cause a watchdog timer
timeout.)
If no error is found in the function, check the set scan time

Check SW00055 to learn the
drawing type, H, L, I, or A.
Check SW00056 to learn the
drawing number.
SW00055 = 0000?
Check SW00050
Check SW00055
Is the set scan
time correct?

Table of Contents

Related product manuals