EasyManua.ls Logo

YASKAWA SGMJV

YASKAWA SGMJV
400 pages
To Next Page IconTo Next Page
To Next Page IconTo Next Page
To Previous Page IconTo Previous Page
To Previous Page IconTo Previous Page
Loading...
5.6 Operating Using Speed Control with an Internal Set Speed
5-55
5
Operation
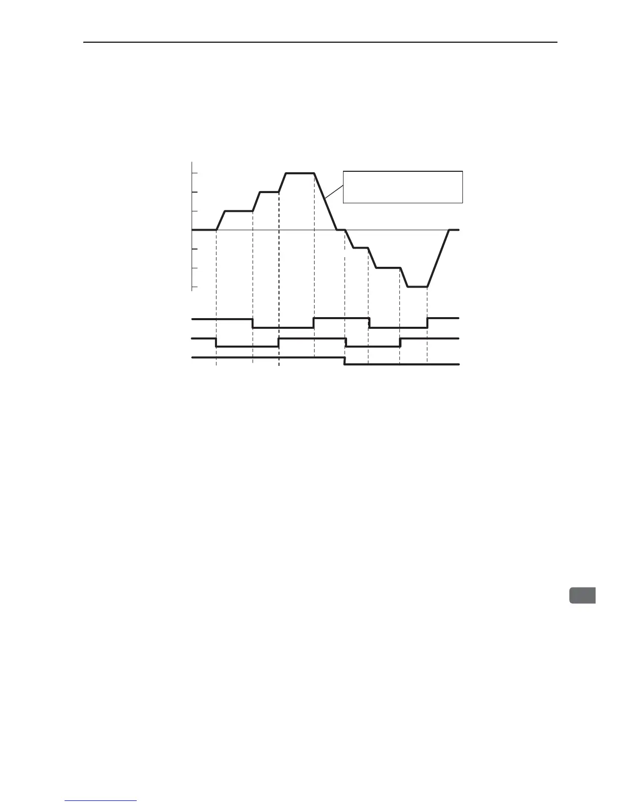
5.6.2 Example of Operating with Internal Set Speed
Operating example of speed control with internal set speed is as shown below.
This example combines speed control with internal set speed with soft start function.
The shock that results when the speed is changed can be reduced by using the soft start function.
-SPEED1
Servomotor speed
+SPEED3
+SPEED2
+SPEED1
-SPEED2
-SPEED3
0
OFF ON
Stop
/P-CL (/SPD-A)
/N-CL (/SPD-B)
/P-CON( /SPD-D)
Stop
Stop
OFF OFF OFF OFF
OFF OFF OFF OFF OFF
OFF
ON ON ON
ON
ON ON ON
ON ON ON ON
OFF OFF OFF
Acceleration/deceleration are
done for the soft start times set in
Pn305 and Pn306.
1st speed
1st speed
2nd speed
2nd speed
3rd speed
3rd speed

Table of Contents

Related product manuals