EasyManua.ls Logo

Cisco CATALYST 2960 - Page 745

Cisco CATALYST 2960
980 pages
Print Icon
To Next Page IconTo Next Page
To Next Page IconTo Next Page
To Previous Page IconTo Previous Page
To Previous Page IconTo Previous Page
Loading...
33-7
Catalyst 2960 and 2960-S Switches Software Configuration Guide, Release 15.0(1)SE
OL-26520-01
Chapter 33 Configuring QoS
Understanding QoS
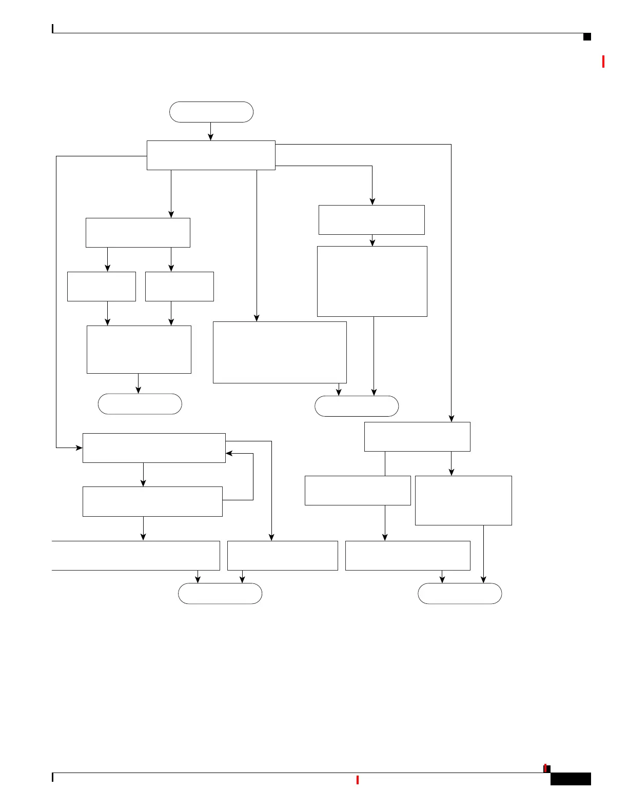
Figure 33-3 Classification Flowchart
86834
Generate the DSCP based on
IP precedence in packet. Use
the IP-precedence-to-DSCP
map. Use the DSCP value to
generate the QoS label.
Assign default
port CoS.
Ye s
Ye s
No
No
No
Ye s N o
(Optional) Modify the
DSCP by using the
DSCP-to-DSCP-mutation
map. Use the DSCP
value to generate
the QoS label.
Read ingress interface
configuration for classification.
Assign DSCP identical
to DSCP in packet.
Check if packet came
with CoS label (tag).
Use the CoS value to
generate the QoS label.
Generate DSCP from
CoS-to-DSCP map.
Use the DSCP value to
generate the QoS label.
Ye s
Read next ACL. Is there
a match with a "permit" action?
Assign the DSCP or CoS as specified
by ACL action to generate the QoS label.
Assign the default
DSCP (0).
Are there any (more) QoS ACLs
configured for this interface?
Check if packet came
with CoS label (tag).
Use CoS
from frame.
Start
Trust CoS (IP and non-IP traffic).
IP and
non-IP
traffic
Trust DSCP or
IP precedence
(non-IP traffic).
Trust IP
precedence
(IP traffic).
Trust DSCP (IP traffic).
DoneDone
Done
Done
Assign the default port
CoS and generate a
DSCP from the
CoS-to-DSCP map.
Generate the DSCP by using
the CoS-to-DSCP map.

Table of Contents

Other manuals for Cisco CATALYST 2960

Related product manuals