EasyManua.ls Logo

Dexcom G6 Pro - Kaplan Meier Curve of Sensor Life

Dexcom G6 Pro
172 pages
Print Icon
To Next Page IconTo Next Page
To Next Page IconTo Next Page
To Previous Page IconTo Previous Page
To Previous Page IconTo Previous Page
Loading...
G6 Pro User Guide
138Appendix G: Technical Information
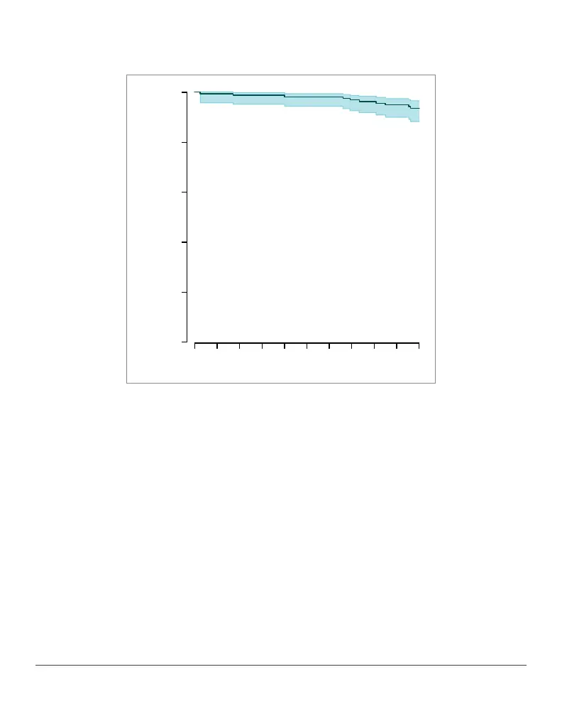
Figure 1-A. Kaplan Meier Curve of Sensor Life (Adults; N = 164)
Note:# of Censored” refers to sensors excluded from the survival
analysis due to reasons not related to the device (e.g., subject dropped
out of study)
Sensor Day
1 1001021 22
1 1230023 30
164 162 160 158 155 154154 150146 144139
012345678910
0.0
0.2
0.4
0.6
0.8
1.0
# of Failures
# at Risk
# of Censored
Survival Probability

Table of Contents

Related product manuals