EasyManua.ls Logo

Kidde ARIES - COMBINATION CIRCUITS

Kidde ARIES
282 pages
Print Icon
To Next Page IconTo Next Page
To Next Page IconTo Next Page
To Previous Page IconTo Previous Page
To Previous Page IconTo Previous Page
Loading...
August 2013 2-20 P/N 06-236530-001
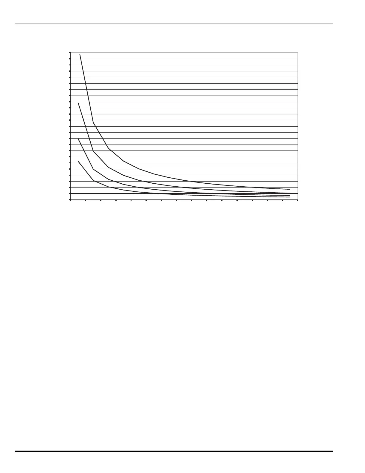
Use Figure 2-19 to estimate the maximum length of wire as a function of notification-appliance
current for both NACs.
Figure 2-19. Wiring Length vs. Notification-Appliance Current
2-10 COMBINATION CIRCUITS
The ARIES Control Unit has two combination circuits that can be used either as notification-
appliance circuits (NACs) or as releasing circuits for solenoid valves. The combination circuits
are labeled Combo1 and Combo2. These circuits have field-wiring connections that terminate at
TB7 and TB6, respectively.
2-10.1 Combination Circuits used as NACs
Each combination circuit can supply up to 1.5 A of current at a nominal 24 Vdc for
polarized notification appliances when configured as a NAC. Total current output of the
ARIES power supply must not exceed 5.4 A.
Both combination circuits are supervised and power limited when configured as NACs.
They are compatible with conventional, UL-Listed, 24-Vdc notification appliances. They
can also be used with the following synchronizable horns and strobes:
MT Series Multi-Tone Horns and Horn/Strobes
NS Series Horn/Strobes
NH Series Horns
RSS(P) Series Strobes
The NS Series notification appliances provide the option to use silenceable horns and
non-silenceable strobes on the same NAC. Refer to the ARIES Programmer’s Guide to
configure one or both combination circuits as NACs and to configure them for use with
the NS Series notification appliances.
0
500
1000
1500
2000
2500
3000
3500
4000
4500
5000
5500
6000
6500
7000
7500
8000
8500
9000
9500
10000
10500
11000
11500
12000
0.1 0.2 0.3 0.4 0.5 0.6 0.7 0.8 0.9 1 1.1 1.2 1.3 1.4 1.5
NAC Current (A)
#18 AWG
#16 AWG
#14 AWG
#12 AWG
0.0
Maximum NAC Wire Length (Ft.)

Table of Contents

Related product manuals