EasyManua.ls Logo

Kidde ARIES - Relays

Kidde ARIES
282 pages
Print Icon
To Next Page IconTo Next Page
To Next Page IconTo Next Page
To Previous Page IconTo Previous Page
To Previous Page IconTo Previous Page
Loading...
August 2013 2-28 P/N 06-236530-001
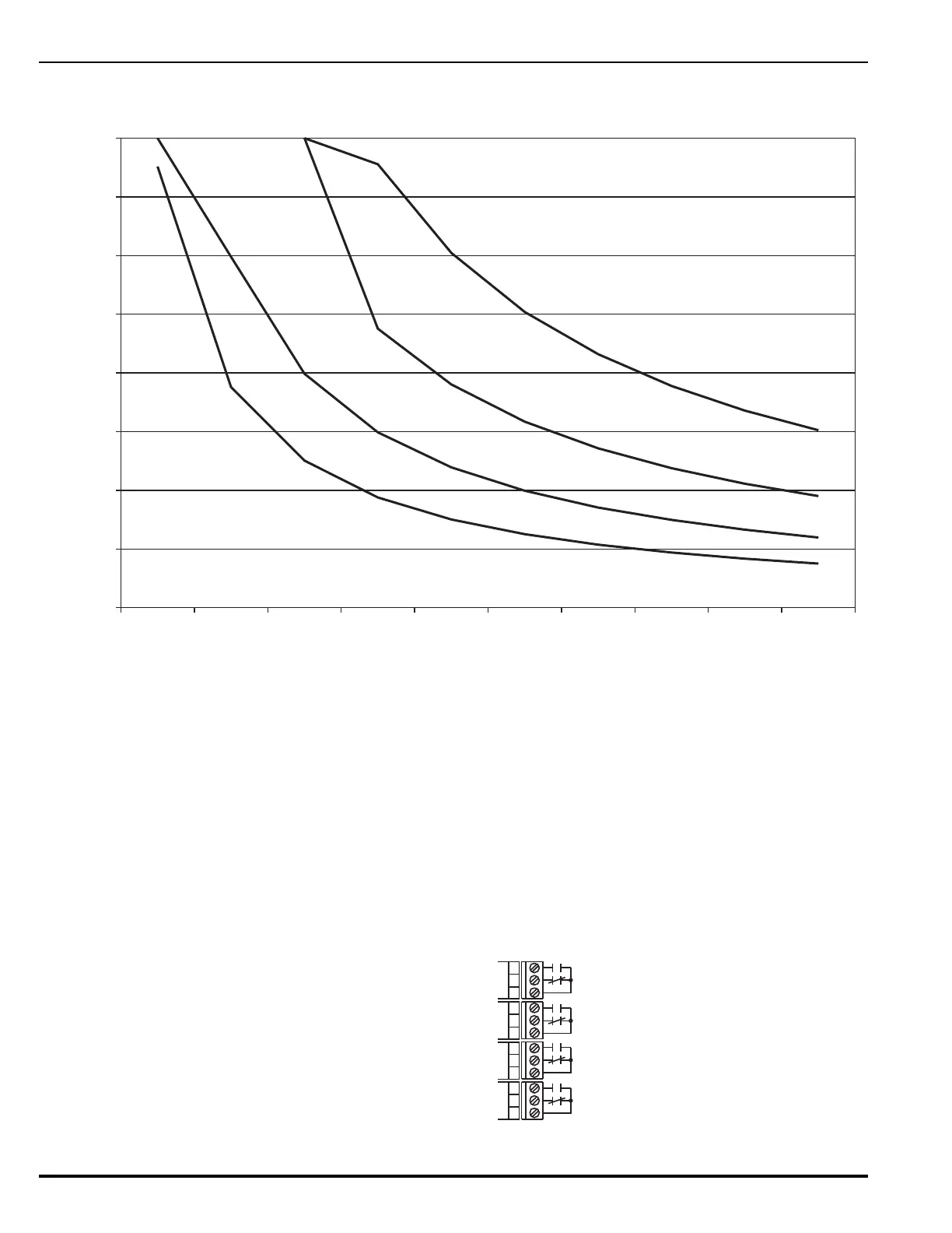
Use Figure 2-29 to estimate the maximum length of wire that can be connected to an Auxiliary-
Power Output as a function of RS-485 peripheral-devices current.
Figure 2-29. 24 Vdc-Power Wiring Length vs. Peripheral-Devices Current
Refer to the installation manuals for the remote display module and driver modules for address
selection and additional point-to-point-connection details. The numbers of peripheral devices for
a particular application are specified via the ARIES Programmer’s Guide.
2-14 RELAYS
The ARIES Control Unit has three Form-C, programmable relays and one Form-C, trouble relay
as shown in Figure 2-30. All of these relays have the following contact ratings:
1.0 A @ 30 Vdc (resistive)
0.5 A @ 30 Vdc (inductive)
0.5 A @ 120 Vac (inductive)
Figure 2-30. Programmable and Trouble Relays
0
500
1000
1500
2000
2500
3000
3500
4000
0.1 0.2 0.3 0.4 0.5 0.6 0.7 0.8 0.9 1.0
Total Current (A) for RS-485 Peripheral Devices
0.0
#18 AWG
#16 AWG
#14 AWG
#12 AWG
Maximum Distance (Ft.)
NCNO
C
NCNO
C
NCNO
C
NCNO
C
Programmable Relay No. 1
Programmable Relay No. 2
Programmable Relay No. 3
Relay No. 4 (Trouble)

Table of Contents

Related product manuals