EasyManua.ls Logo

Polycom Business VoiceEdge - Telephony Toolbar Interface and Call Controls

Polycom Business VoiceEdge
64 pages
Print Icon
To Next Page IconTo Next Page
To Next Page IconTo Next Page
To Previous Page IconTo Previous Page
To Previous Page IconTo Previous Page
Loading...
End User 24
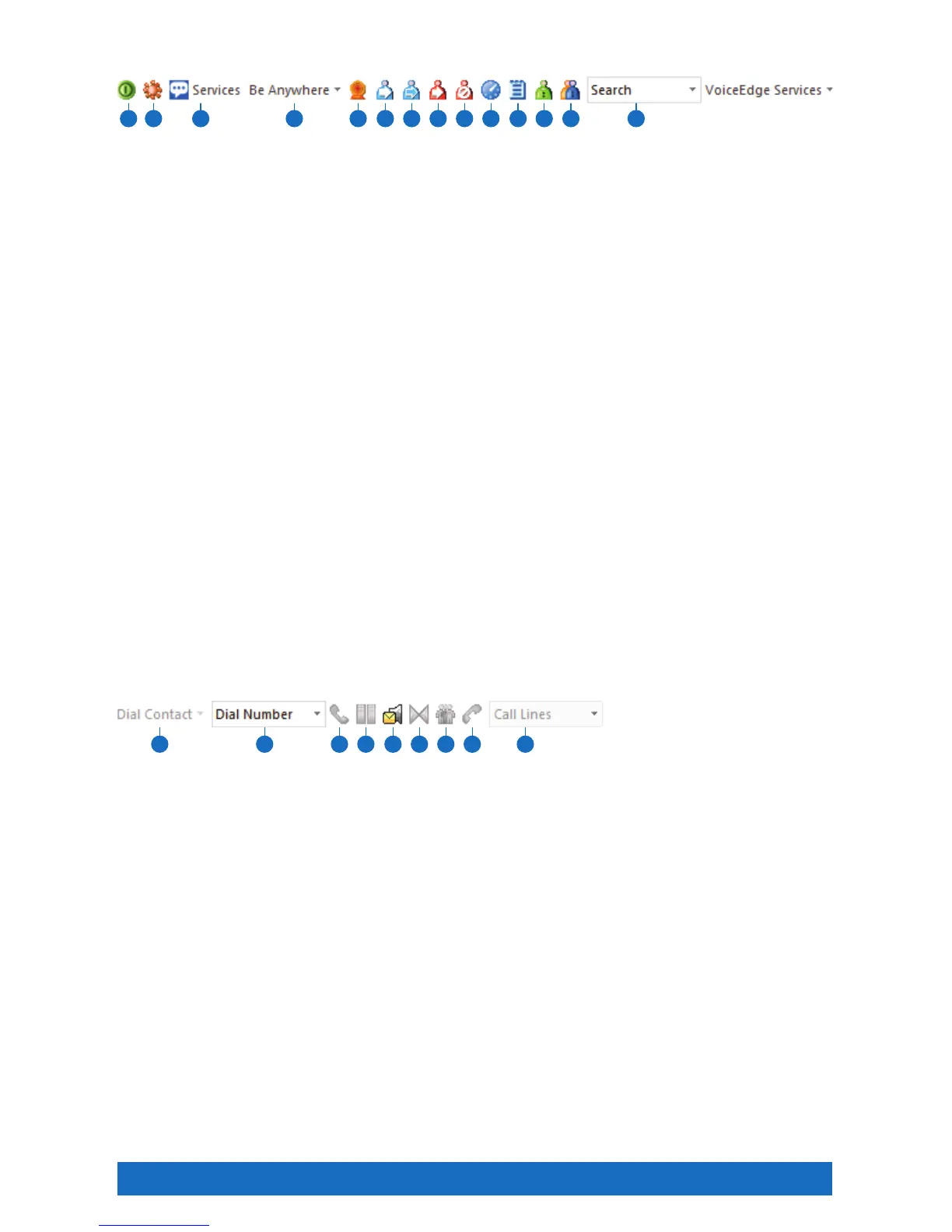
Using the Telephony Toolbar
1 2 3 5 6 7 8 9 10 11 12 13 14 15
1. Connect: This button is red if you are not logged in; click to automatically log in.
2. Options: Pre-configured general connection settings; where you enter login during initial setup.
3. Services: Configure incoming call control features and/or voice messaging.
4. Portal Login: Log on to the Business VoiceEdge portal from Internet Explorer or Firefox.
5. Be Anywhere: Set up one number that rings all your phones; use the Be Anywhere voice portal to make
and place calls using your office line while you are mobile.
6. Remote Office: Enable a remote location to act as your work phone.
7. Call Forwarding Always: Turn on/off the ability to send calls directly to a specified phone number.
8. Call Forwarding No Answer: Turn on/off the ability to forward all incoming calls to a specified phone
number if your phone isn’t answered.
9. Call Forwarding Busy: Turn on/off the ability to forward all incoming calls if you are on a call.
10. Do Not Disturb: Turn on/off the ability to send calls directly to voicemail (busy greeting).
11. Speed Dial: Dial from the speed dial directory.
12. Call History: View missed, dialed and received calls.
13. Personal Directory: Access your personal directory.
14. Group Directory: Access the company-wide group directory.
15. Search: Enables you to search for a previously searched user/contact directly or to specify an ad hoc
user/contact query.
Call Controls
1 2 3 4 5 6 7 8 9
1. Dial Contact: Click to dial an Outlook contact’s business, home or mobile phone number.
2. Dial Other: Displays the last 10 dialed numbers for quick selection.
3. Answer: Answer a call.
4. Hold: Place a call on hold.
5. Voicemail: Dial voicemail.
6. Transfer: Transfer a call to another extension.
7. 3-Way: Initiate a 3-way conference call.
8. End: Terminate a call.
9. Call Line: When a call is placed or received, the call line selector will automatically select a call and
provide the name of the party (if available).

Table of Contents

Related product manuals