EasyManua.ls Logo

SSD 605C - Brake Resistor Selection

SSD 605C
236 pages
Print Icon
To Next Page IconTo Next Page
To Next Page IconTo Next Page
To Previous Page IconTo Previous Page
To Previous Page IconTo Previous Page
Loading...
13-4 Application Notes
605C Frequency Inverter
The Dynamic Braking Option is a PCB with an extra IGBT power device fitted. It is fitted
inside the drive package and is connected to the negative side of the dc link.
When the dc link voltage rises above 750V for the 400V build (815V for the 500V build), the
brake unit switches the external resistor network across the dc link. The brake unit switches off
again when the dc link voltage falls below the threshold level. The amount of energy produced
by the motor during regeneration depends upon the DECEL RATE parameter (refer to the
SYSTEM RAMP function block) and the inertia of the load.
All 605C units are supplied without braking resistors. The following paragraphs should be used
as a guide to calculate the braking requirements of the system.
Brake Resistor Selection
Brake resistor assemblies must be rated to absorb both peak braking power during deceleration
and the average power over the complete cycle.
Peak braking power
0 0055J n n
t
W
1
2
2
2
b
=
×−.( )
()
J - total inertia (kgm
2
)
n
1
- initial speed (rpm)
Average braking power P
P
t
av
pk
c
= x t
b
n
2
- final speed (rpm)
t
b
- braking time (s)
t
c
- cycle time (s)
Information on the peak power rating and the average power rating of the resistors must be
obtained from the resistor manufacturer. Alternatively if this information is not available then a
large safety margin must be incorporated to ensure that the resistors are not overloaded. SSD
Drives can supply suitable brake resistor assemblies as detailed over.
By connecting these resistors in series and in parallel the braking capacity can be selected for
the application.
The minimum resistance of the combination should not be less than that specified, refer to table
3.2.
The resistor(s) must be specified to the maximum dc link voltage (890V for the 500V build,
810V for the 400V build, 420V for the 230V build).
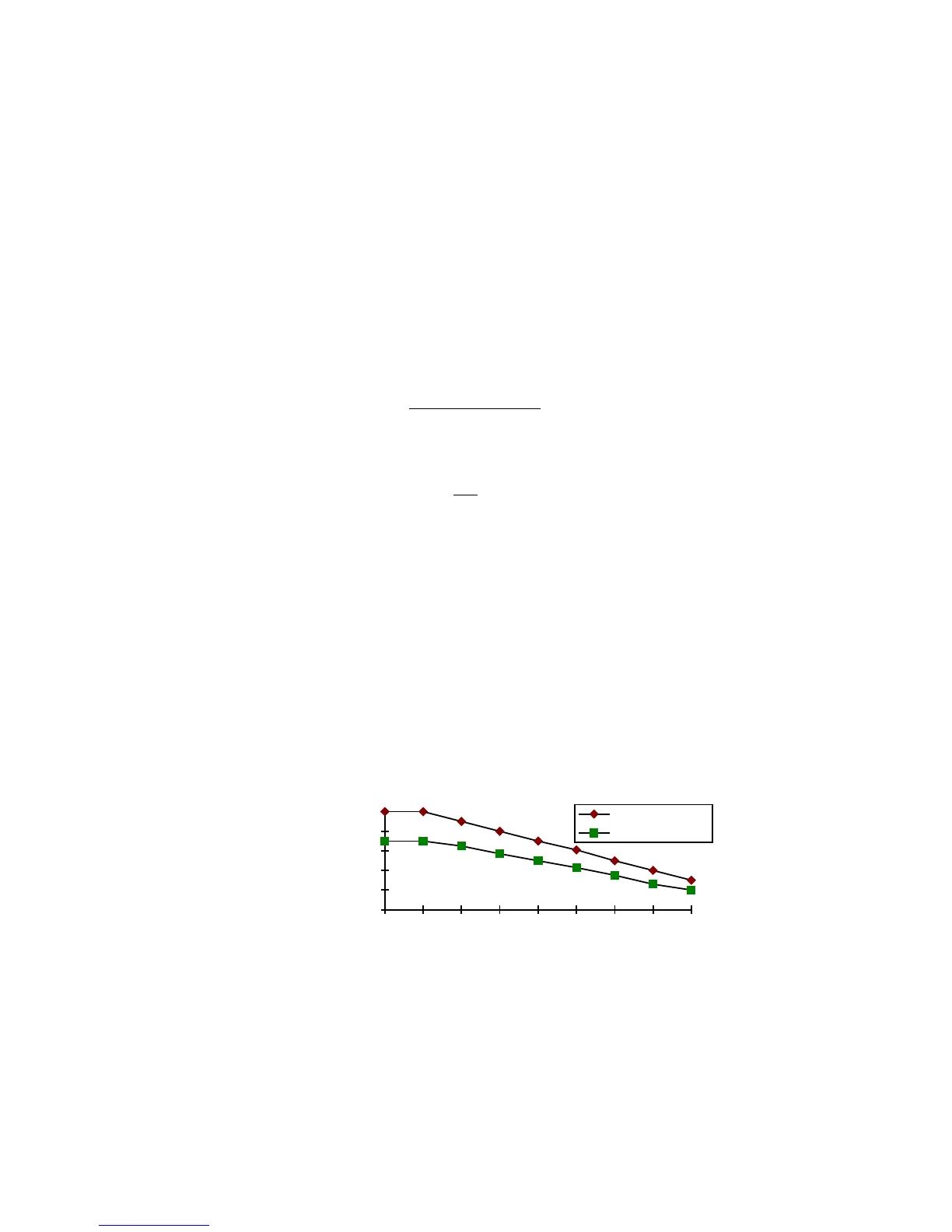
Figure 13-3 Brake Resistor Derating Graph
0
20
40
60
80
100
0 25 50 75 100 125 150 175 200
Ambient Temp (C)
% of Rated
Power
chassis mounted
free air

Table of Contents