EasyManua.ls Logo

Stulz C7000 - Page 137

Stulz C7000
198 pages
Print Icon
To Next Page IconTo Next Page
To Next Page IconTo Next Page
To Previous Page IconTo Previous Page
To Previous Page IconTo Previous Page
Loading...
137
n
max
© STULZ GmbH – all rights reserved EN/06.2019/G57
C7000 INSTRUCTIONS fOR A/C UNITS
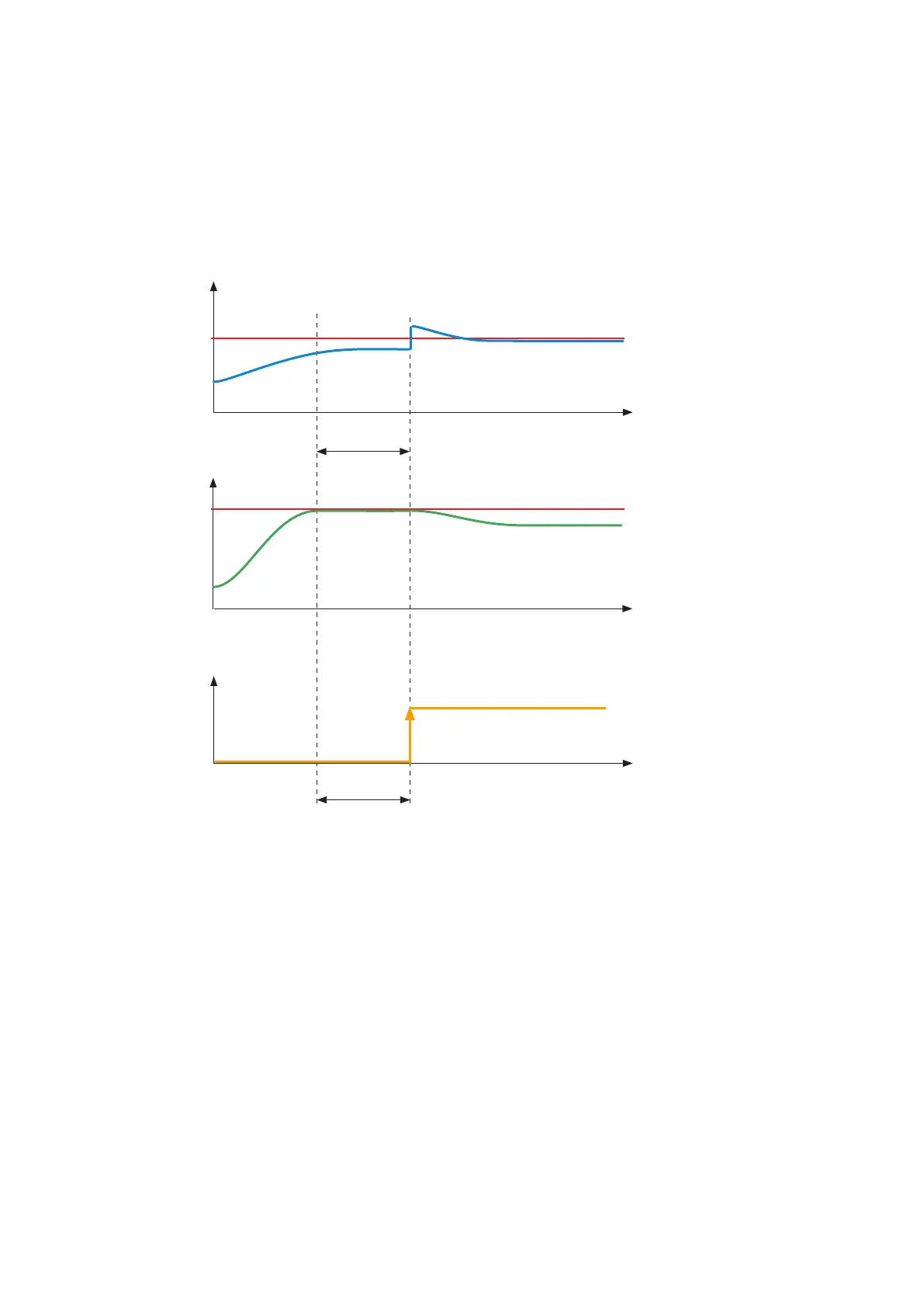
time
Setpoint
standby
unit
supply air
pressure
on
off
fan speed
The supply air pressure is lower than the setpoint
The fan speed of all units in a zone is raised to the maximum speed. As soon as the maximum speed is rea-
ched, the SAPSM delay is started. If the supply air pressure is still lower than the setpoint after the SAPSM
delay has elapsed, while the fans run with maximum speed, the standby unit, whose SAPSM delay has elap-
sed, is started.
SAPSM delay
SAPSM delay
The supply air pressure is equal to the setpoint
If the actual state has been caused by a pressure condition (e.g. the supply air pressure has been too low, that
is why a standby unit has been started.) it does not change.
Otherwise the state is determined by the actual operating mode. If e-g- free cooling in the frame of DFC con-
trol is not possible anymore, the standby units are switched off. In the DX mode the control tries to match the
supply air pressure setpoint by raising the fan speed.

Table of Contents

Related product manuals