EasyManua.ls Logo

Stulz C7000 - Page 23

Stulz C7000
198 pages
Print Icon
To Next Page IconTo Next Page
To Next Page IconTo Next Page
To Previous Page IconTo Previous Page
To Previous Page IconTo Previous Page
Loading...
23 © STULZ GmbH – all rights reserved EN/06.2019/G57
C7000 INSTRUCTIONS FOR A/C UNITS
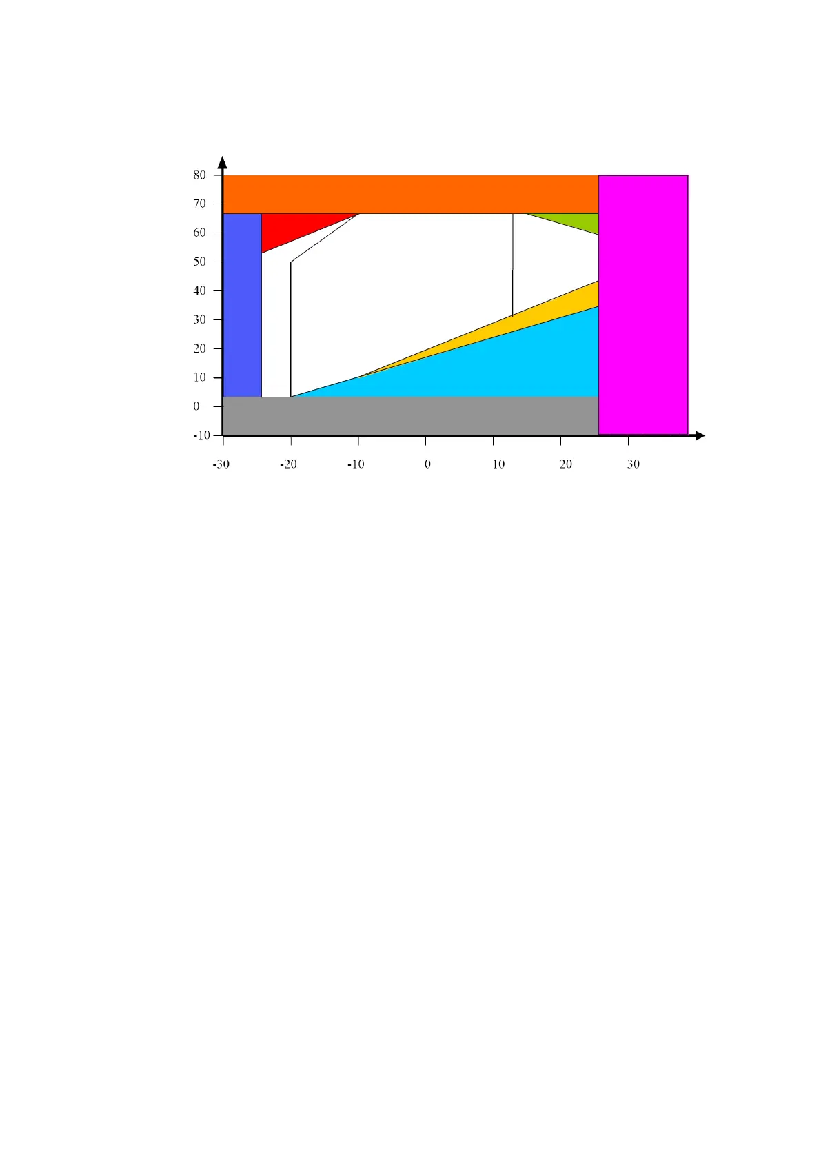
Problematic zones:
Zone 2 : max. admissible pressure ratio exceeded, pc/po > 9,0
Zone 3 : max. admissible hot gas pressure pc = 43,5 bar exceeded
Zone 4 : max. compressor current consumption exceeded
Zone 5 : max. suction pressure po = 17 bar (26°C) exceeded
Zone 6 : min. admissible pressure ratio passed under, pc/po < 1,8
(unstable zone for capacity control)
Zone 7 : min. admissible pressure difference passed under,
pc-po < 4bar
(oil transport no longer guaranteed)
Zone 8 : min. hot gas pressure 8 bar (0°C) passed under
Zone 9 : min. suction pressure 3,3 bar (-25°C) passed under
Normal zones:
Zone 1a : Speed range 20120 rps;
max. hot gas temp. = 110°C
Zone 1b : Speed range 20120 rps;
max. hot gas temp. = 120°C
Zone 1c : Speed range 20 - 90 rps;
max. hot gas temp. = 120°C
pc = condensation pressure (= hot gas
press.)
po = suction gas pressure
Condensation
temperature
[°C]
Evaporation
temperature
[°C]
Operating zones of the ICC for R410a
Zone 2
Zone 8
Zone 5
Zone 7
Zone 6
Zone 3
Zone 4
Zone 1b
Zone 1c
Zone
1a
Zone
9

Table of Contents

Related product manuals