EasyManua.ls Logo

Stulz C7000 - Page 56

Stulz C7000
198 pages
Print Icon
To Next Page IconTo Next Page
To Next Page IconTo Next Page
To Previous Page IconTo Previous Page
To Previous Page IconTo Previous Page
Loading...
56
t
t
E
A
j = j
P
+ j
I
+ j
D
j = 3 + 5 + (- 2)
j = 6%
DT
n-1
= 0,4 K
DT
n
= 0,3 K
K
D
= 10
k
K
D
= 2
EN/06.2019/G57  © STULZ GmbH – all rights reserved
C7000 INSTRUCTIONS fOR a/C UNITS
D-factor
actual val.
Set val.
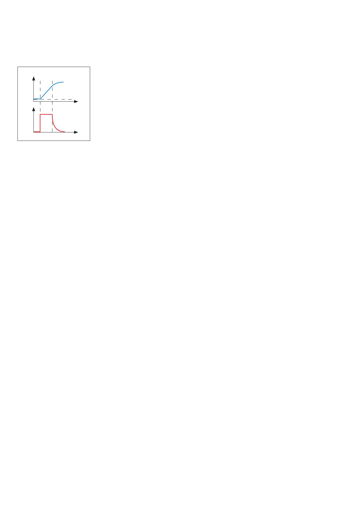
To show the principal influence of the
I-/D-factor the diagrams feature an
open control circuit.
In reality the control circuit is closed
and the alteration of the output has
an effect on the input (measured
value).
D factor:
component
depedant
constant:
Setpoint discrepancy
at the moment t
1
at the moment t
2
For calculating the output variable the single parts are added:
D factor
By the D-factor you adjust the differential part of the control. By the differential
part a change of the setpoint discrepancy is detected. This way the control can
rapidly work against an erratic change of the input value.
The size of the D factor should be set in dependance on the possibility for a sud-
den change of the input variable. If the input variable is the return air temperature,
a D factor makes hardly any sense, as there are generally no erratic changes of
the return air temperature. In contrast to this the setting of a D factor can lead to
a better control characteristic for the G valve (input variable is the condensation
pressure) or for supply air control.
Example: j
D
= K
D
DT
n
- DT
n-1

K
D
j
D

j
D
= -2 (opening degree in %)

Table of Contents

Related product manuals