EasyManua.ls Logo

Tektronix 2230 - Page 3

Tektronix 2230
188 pages
Print Icon
To Next Page IconTo Next Page
To Next Page IconTo Next Page
To Previous Page IconTo Previous Page
To Previous Page IconTo Previous Page
Loading...
--
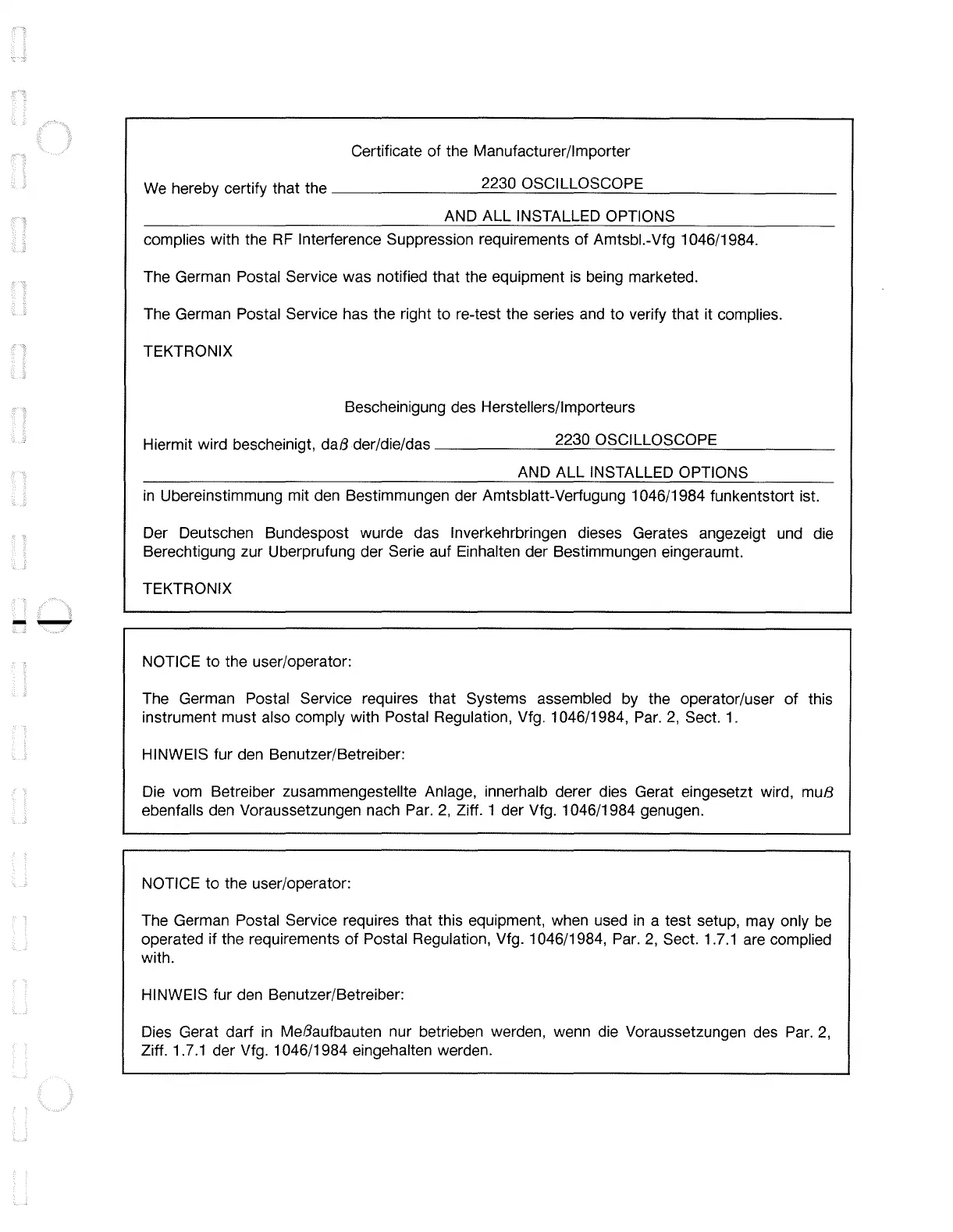
Certificate of the Manufacturer/Importer
We
hereby certify that the
________
2_2_30_O_S_C_IL_L_O_S_C_O_P_E
_________
_
AND
ALL
INSTALLED OPTIONS
complies with the
RF
Interference Suppression requirements of Amtsbl.-Vfg 1046/1984.
The German Postal Service was notified that the equipment
is
being marketed.
The German Postal Service has the right to re-test the series
and
to verify that it complies.
TEKTRONIX
Bescheinigung des Herstellers/lmporteurs
Hiermit
wird
bescheinigt,
daB
der/die/das
______
2_2_3_0_O_S_C_IL_L_O_S_C_O_P_E
_____
_
AND
ALL
INSTALLED OPTIONS
in
Ubereinstimmung mit den Bestimmungen der Amtsblatt-Verfugung 1046/1984 funkentstort ist.
Der Deutschen Bundespost wurde das lnverkehrbringen dieses Gerates angezeigt
und
die
Berechtigung zur Uberprufung der Serie auf Einhalten der Bestimmungen eingeraumt.
TEKTRONIX
NOTICE to the user/operator:
The German Postal Service requires that Systems assembled
by
the operator/user of this
instrument must also comply with Postal Regulation, Vfg. 1046/1984, Par.
2,
Sect.
1.
HINWEIS fur den Benutzer/Betreiber:
Die
vom Betreiber zusammengestellte Anlage, innerhalb derer dies Gerat eingesetzt wird, muB
ebenfalls den Voraussetzungen nach
Par.
2,
Ziff. 1 der Vfg. 1046/1984 genugen.
NOTICE to the user/operator:
The German Postal Service requires that this equipment, when used
in
a test setup, may only
be
operated if the requirements of Postal Regulation, Vfg. 1046/1984,
Par.
2,
Sect.
1.7.1
are complied
with.
HINWEIS fur den Benutzer/Betreiber:
Dies Gerat dart
in
MeBaufbauten nur betrieben werden, wenn die Voraussetzungen des
Par.
2,
Ziff.
1.
7.1
der Vfg. 1046/1984 eingehalten werden.

Table of Contents

Other manuals for Tektronix 2230

Related product manuals