EasyManua.ls Logo

Dorr EcoBell2 SL EC - Clamping Device (Jig)

Dorr EcoBell2 SL EC
156 pages
Print Icon
To Next Page IconTo Next Page
To Next Page IconTo Next Page
To Previous Page IconTo Previous Page
To Previous Page IconTo Previous Page
Loading...
Operating Manual
© Dürr Systems AG
40 / 156
EcoBell2 SL EC
- Rotating Atomizer with External Charging
Operating principle
Document No.: MRA00001EN
Version:: 07 As of:: 01/2020
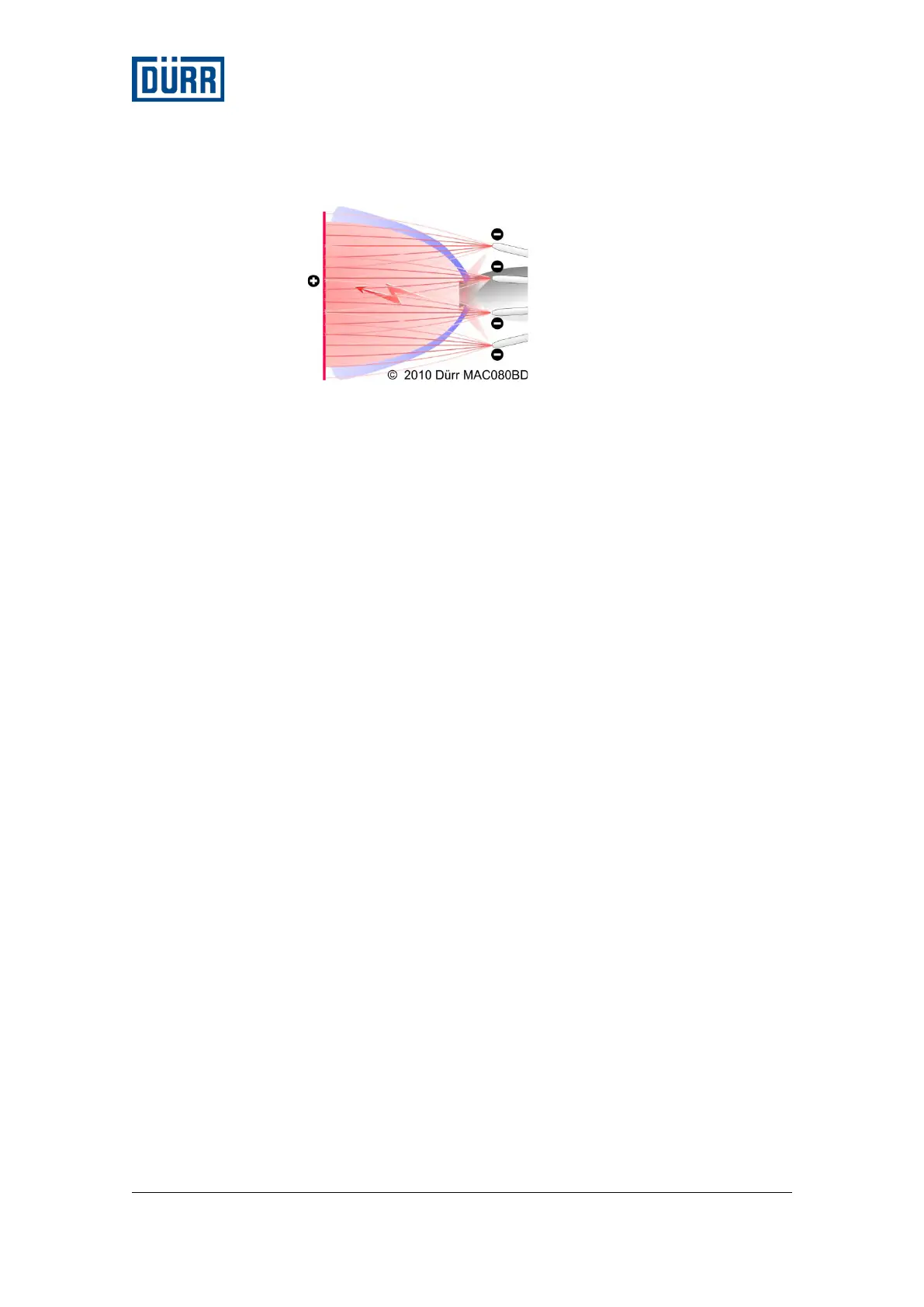
Fig. 15: External charging
Distribution of electrostatic field - power flow
All paint droplets, leaving the bell disk of the atomizer must be
charged in equal strength charged by the electrodes. The better the
charge, the greater the forces on the paint droplets.
Only when the charging of all the electrodes is the same, does this
result in a uniform spray pattern. The electrode ring has six
electrodes.
Damaged needles and contaminated electrodes prevent an effective,
uniform spreading of the electrostatic field.
Insulation
The white plastic must insulate the high-voltage-carrying parts from
the grounded parts electrically.
Dirt on the surface of the atomizer makes the surface electrically
conductive - it weakens the electrostatic field.
If there is a spark discharge, parts of the plastic burn. The fire track on
the plastic contains carbon, which is highly electrically conductive.
Scorch marks cannot be removed completely. Components with
scorch marks must be replaced.
Pos: 30 /INP/ Bell2/04_03_0 7 Spannvo rrichtung @ 39\ mod_140 8526543601 _20.docx @ 49 3902 @ 3 @ 1
4.4.7 Clamping device (Jig)
The back side of the atomizer is connected with the flange.
The flange is not included with the atomizer.

Table of Contents