EasyManua.ls Logo

Flytec 6030 - Page 19

Flytec 6030
68 pages
Print Icon
To Next Page IconTo Next Page
To Next Page IconTo Next Page
To Previous Page IconTo Previous Page
To Previous Page IconTo Previous Page
Loading...
© Flytec USA, 2007 2014 Printed on 100% post-consumer recycled paper
19
beep/pause will be equal, and at 100% the tone will be steady. The nascent thermal tone can be disabled
Menu>Pilot settings> Acoustic vario>Near thermal tone.
Acoustic Integrator: Also known as dampening, this is used to dampen the irregular ascent/descent sounds
that would result when flying in turbulent air. The amount of dampening can be set to between 1 and 35 in the
damp field in Menu>Pilot settings>Acoustic vario>Customize sound. The lower the value, the more responsive
the frequency change in the ascent tone will be, as vertical speed values change. However, this will result in an
erratic beep frequency in rough air (piano effect). The higher the value, the smoother the ascent/descent
frequency changes will be with changes in vertical speed however, the frequency change will be somewhat
delayed. The factory setting is 8, which is a good compromise.
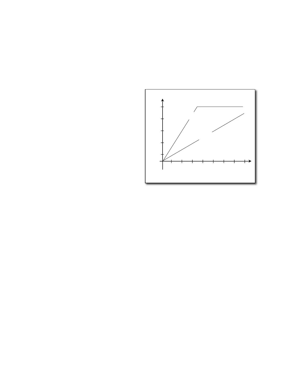
Modulation: The rate at which the frequency of
the ascent tone increases as increased lift is
encountered is called modulation. The modulation
of the ascent tone can be adjusted to values from
2 to 9 in Menu>Pilot settings>Acoustic
vario>Customize sound. The higher the value, the
faster the frequency will increase as the lift values
increase. A modulation setting of 9 will yield more
audible change at lower climb rates, making it best
suited for use in mild lift. Conversely, a modulation
of 2 will spread the audible change over a greater
range of climb rates, and will be better suited for
flying in stronger conditions (see graph facing
page). The factory setting is 5.
Pitch: The ascent tone has a beep-pause ratio of
1:1 that cannot be changed; however, the tempo
(pitch) of the beeping becomes more rapid with
increasing lift. The rate at which the tempo
increases as increased lift is encountered can be
changed by altering the pitch value between 1 and 7 in Menu>Pilot settings> >Acoustic vario> Customize
sound. A pitch setting of 7 will yield maximum beep tempo at a climb rate of 1,000 ft/min (5 m/sec), while a
setting 1 will yield maximum beep tempo at 5,000 ft/min (25 m/sec).
Sink Alarm: The sink alarm is a continuous tone, triggered when the descent rate exceeds a predetermined
threshold. The sink tone decreases in frequency as the descent rate increases. The sink alarm can be toggled
on and off by briefly pressing the & " key. When the sink alarm is turned on, the 6030 will sound a sample tone
and the analog vario display will momentarily show the sink alarm threshold. The sink tone threshold can be set
between 10 and 2000 ft/min in Menu>Pilot settings>Acoustic vario>Sink tone threshold. The start frequency of
the sink tone can be set in the sinktoneF field in Menu>Pilot settings>Acoustic vario>Customize sound.
Stall Alarm: This is a tone of medium frequency with a very fast beep interval rate; it is always at full volume
(100%) and is not adjustable. The threshold speed and altitude for the stall alarm can be set in Menu>Pilot
settings>Speed>Stall speed. To turn off the stall alarm, set the threshold speed to 0. For more details read
Section 12.1, Stall Alarm, in the Appendix.
McCready Sound: When gliding with the McCready Sound activated, the 6030 will provide a beep that
corresponds to the McCready speed value (speed to fly). This sound is not adjustable and has been chosen
so that it should not be confused with the normal ascent beeping. It has a beep-pause ratio of 1:4. It is possible
to set a dead band for the McCready sound in the tonegap field of Menu>Pilot settings>McCready, so that there
will be no McCready sound when flying at or near the desired speed ring setting. Each time the McCready
sound is turned on, the deadband will be centered on the speed ring setting you were flying when you pressed
the McC & key. When the McCready sound is turned on, “MC” will appear at the top of display (between the
battery status and the page number). A time delay (in seconds) for the starting of the McCready sound after
leaving a thermal can be set to between 0 and 30 seconds in the delay field in Menu>Pilot settings>McCready.
For more detail, read Sections 3.5.2
Negative McCready Alarm: This is a deeper (lower frequency) beep with a rapid beep interval rate, which
indicates that you are flying slower than best glide speed and should fly faster immediately. This sound is not
adjustable.
150
0
200
0
250
0
300
0
350
0
Ascent tone in Hz
2 4 6 8 10 12 14 16
Climb rate in 100ft/min
ft/min
Modulation 2 = slow
change
Modulation 9 = fast
change
Modulation

Table of Contents

Related product manuals