EasyManua.ls Logo

Intel 815 - Flexible Motherboard Guidelines; Solutions; Figure 44. AGP 2 X;4 X Routing Example for Interfaces < 6 Inches and GPA;AGP

Intel 815
213 pages
Print Icon
To Next Page IconTo Next Page
To Next Page IconTo Next Page
To Previous Page IconTo Previous Page
To Previous Page IconTo Previous Page
Loading...
AGP/Display Cache Design Guidelines
R
Intel
®
815 Chipset Platform Design Guide 85
separately. The maximum length allowed for the AGP interface (on AGP-only motherboards) is
7.25 inches.
7.3.2.1 Flexible Motherboard Guidelines
For motherboards that support either an AGP card or a GPA card in the AGP slot, the
maximum length of AGP 2X/4X timing domain signals is 4 inches.
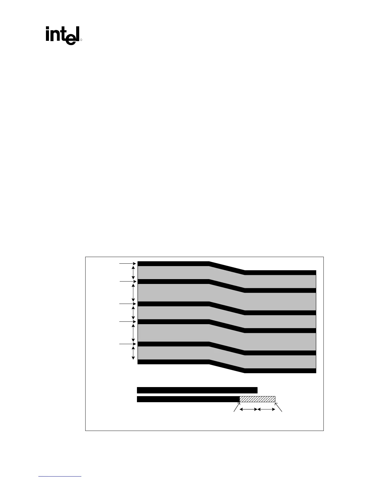
1:3 trace width-to-spacing is required for AGP 2X/4X signal traces.
AGP 2X/4X signals must be matched their associated strobe (as outlined in Table 20), within
±0.5 inch.
For example, if a set of strobe signals (e.g., AD_STB0 and AD_STB0#) is 3.7 inches long, the
data signals associated with those strobe signals (e.g., AD[15:0] and C/BE[2:0]#) can be
3.2 inches to 4 inches long (since there is a 4 inch maximum length). Another strobe set (e.g.,
SB_STB and SB_STB#) could be 3.1 inches long, so that the associated data signals (e.g.,
SBA[7:0]) can be 2.6 inches to 3.6 inches long.
The strobe signals (AD_STB0, AD_STB0#, AD_STB1, AD_STB1#, SB_STB, and SB_STB#)
act as clocks on the source-synchronous AGP interface. Therefore, special care must be taken
when routing these signals. Since each strobe pair is truly a differential pair, the pair should be
routed together (e.g., AD_STB0 and AD_STB0# should be routed next to each other). The two
strobes in a strobe pair should be routed using 5-mil traces with at least 15 mils of space (1:3)
between them. This pair should be separated from the rest of the AGP signals (and all other
signals) by at least 20 mils (1:4). The strobe pair must be length-matched to less than ±0.1 inch
(i.e., a strobe and its complement must be the same length within 0.1 inch).
Figure 44. AGP 2X/4X Routing Example for Interfaces < 6 Inches and GPA/AGP Solutions
2X/4X signal
2X/4X signal
AGP STB#
AGP STB
2X/4X signal
2X/4X signal
15 mils
15 mils
15 mils
20 mils
20 mils
5-mil trace
5-mil trace
5-mil trace
5-mil trace
5-mil trace
2X/4X signal
2X/4X signal
AGP STB#
AGP STB
2X/4X signal
2X/4X signal
STB/STB# length
Associated AGP 2X/4X data signal length
Min. Max.
0.5" 0.5"
AGP_2x-4x_routing

Table of Contents

Related product manuals