EasyManua.ls Logo

Topcon TRC-NW8F - Information about the Optical Radiation Hazard to the User

Topcon TRC-NW8F
104 pages
Print Icon
To Next Page IconTo Next Page
To Next Page IconTo Next Page
To Previous Page IconTo Previous Page
To Previous Page IconTo Previous Page
Loading...
100
RELATION BETWEEN SETTING OF ILLUMINATION/ FLASH LEVEL AND MAXIMUM RADIANCE
INFORMATION ABOUT THE OPTICAL RADIATION HAZARD TO THE USER
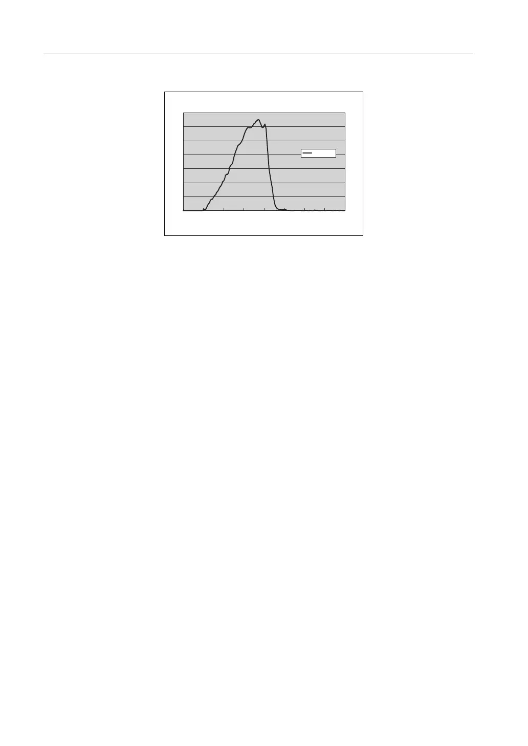
Relative spectral output of this instrument
Photochemical light source radiance of this instrument
LA (without crystalline lens) : 0.98 mW/ (cm
2
·sr)
L
B (with crystalline lens) : 0.94 mW/ (cm
2
·sr)
Meaning of L
A and LB
Spectrally weighted photochemical radiances LB and LA give a measure of the potential that
exists for a beam of light to cause photochemical hazard to the retina. L
B gives the measure for
eyes in which the crystalline lens is in place. L
A gives this measure either for eyes in which the
crystalline lens has been removed (aphakes) and has not been replaced by a UV-blocking lens
or for eyes of very young children.
The value stated for TRC-NW8F gives a measure of hazard potential when the instrument is
operated at maximum intensity and maximum aperture. Values of L
B or LA over 80mW/ (cm
2
·sr)
are considered high for beams which wholly fill a dilated pupil.
Because prolonged intense light exposure can damage the retina, the use of the device for ocu-
lar examination should not be unnecessarily prolonged, and the brightness setting should not
exceed what is needed to provide clear visualization of the target structures. This device should
be used with filter that eliminate UV radiation (<400 nm) and, whenever possible, filters that
eliminate short-wavelength blue light (<420 nm).
The retinal exposure dose for a photochemical hazard is a product of the radiance and the expo-
sure time. If the value of radiance were reduced in half, twice the time would be needed to reach
the maximum exposure limit.
While no acute optical radiation hazards have been identified for fundus cameras, it is recom-
mended that the intensity of light directed into the patient's eye be limited to the minimum level
which is necessary for diagnosis. Infants, aphakes and persons with diseased eyes will be at
greater risk. The risk may also be increased if the person being examined has had any exposure
with the same instrument or any other opthalmic instrument using a visible light source during
the previous 24 hours.This will apply particularly if the eye has been exposed to retinal photogra-
phy.
"CAUTION- The light emitted from this instrument is potentially hazardous. The longer the dura-
tion of exposure and the greater the number of pulses, the greater the risk of ocular damage.
Exposure to light from this instrument when operated at maximum output will exceed the safety
guideline after 7800 pulses for photography light."
TRC-NW8F Observation Light
300 400 500 600 700 800 900 1000 1100
Wavelength[nm]
Relative radiance
Halogen

Table of Contents

Related product manuals