EasyManua.ls Logo

Acer Aspire E1-521 - USB Failure

Acer Aspire E1-521
234 pages
Print Icon
To Next Page IconTo Next Page
To Next Page IconTo Next Page
To Previous Page IconTo Previous Page
To Previous Page IconTo Previous Page
Loading...
Troubleshooting 4-12
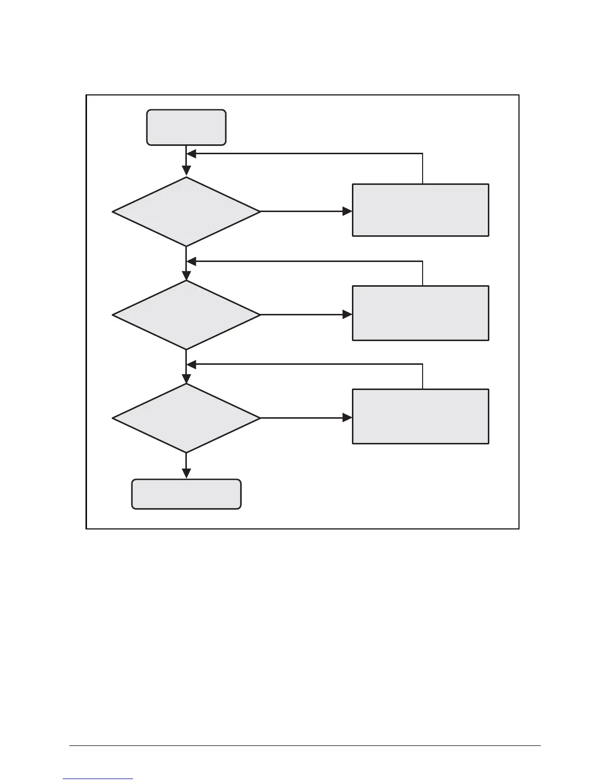
USB Failure
If the USB fails, perform the following:
Figure 4:8. USB Failure
Start
Swap M/B
Check USB
FFC to USB
Connect
Check USB/B
Re-assemble
USB FFC
OK
NG
Swap USB/B
OK
OK
NG
Check USB
CONN is well
Replace
USB CONN
OK
NG

Table of Contents

Related product manuals