EasyManua.ls Logo

Acer Aspire E1-521 - Cosmetic Failure

Acer Aspire E1-521
234 pages
Print Icon
To Next Page IconTo Next Page
To Next Page IconTo Next Page
To Previous Page IconTo Previous Page
To Previous Page IconTo Previous Page
Loading...
Troubleshooting 4-16
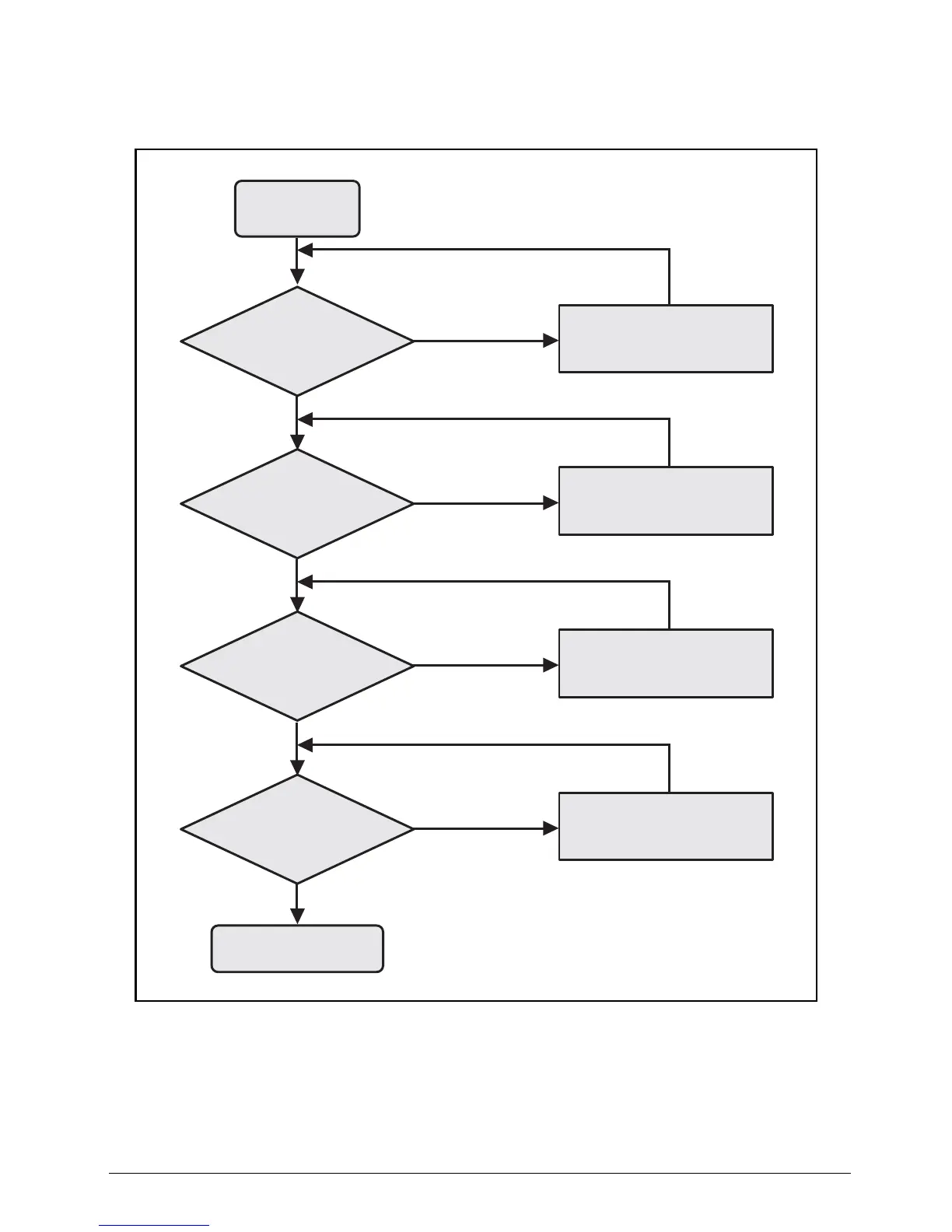
Cosmetic Failure
If the cosmetic fails, perform the following:
Figure 4:12. Cosmetic Failure
Start
Function Test
LCD cover
LCD bezel
Swap LCD cover
OK
NG
Swap LCD bezel
OK
OK
NG
Upper
Swap Upper
OK
NG
Lower
Swap Lower
OK
NG

Table of Contents

Related product manuals