EasyManua.ls Logo

Acer Aspire E1-521 - Wireless Function Failure

Acer Aspire E1-521
234 pages
Print Icon
To Next Page IconTo Next Page
To Next Page IconTo Next Page
To Previous Page IconTo Previous Page
To Previous Page IconTo Previous Page
Loading...
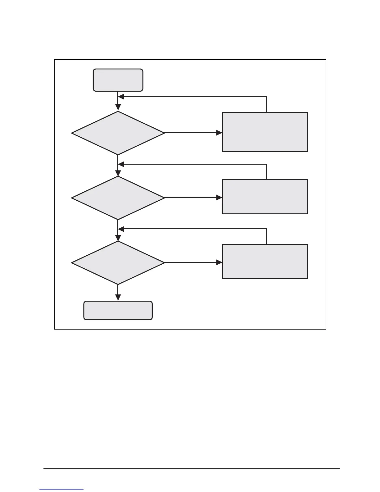
4-13 Troubleshooting
Wireless Function Failure
If the wireless function fails, perform the following:
Figure 4:9. Wireless Function Failure
Start
Swap M/B
Check W/L
antenna to W/L
card
Check antenna
Re-assemble the
antenna to W/L
card
OK
NG
Swap the antenna
OK
OK
NG
Check W/L
card
Swap the W/L
card
OK
NG

Table of Contents

Related product manuals