EasyManua.ls Logo

BD LSR II - Intracellular Calcium Concentration

BD LSR II
204 pages
Print Icon
To Next Page IconTo Next Page
To Next Page IconTo Next Page
To Previous Page IconTo Previous Page
To Previous Page IconTo Previous Page
Loading...
88 BD LSR II User’s Guide
Intracellular Calcium Concentration
Flow cytometry can be used to measure the concentration of intracellular free
calcium ions. Measurement of calcium ion (Ca
++
) concentration can be made on
large numbers of single cells, which provides information about the number of
responding cells as well as the relative magnitude of the response to a given
stimulus. Ca
++
concentration can be correlated with other parameters, such as
time, phenotype, and cell cycle.
In their resting state, eukaryotic cells maintain an internal Ca
++
concentration far
less than that of the extracellular environment. Elevation in intracellular Ca
++
concentration is often used as an indicator of cellular activation in response to a
stimulus. Calcium flux is also an indicator of whether the cells in a population
remain functional after exposure to a drug or other compound.
Several fluorescent dyes measure intracellular Ca
++
levels. For most of them, the
amount of Ca
++
entering a cell is indicated by a change in fluorescence emission.
For example, the emission spectrum of indo-1 changes from blue to violet upon
binding to Ca
++
. The ratio of violet to blue fluorescence is independent of the
amount of dye within the cell.
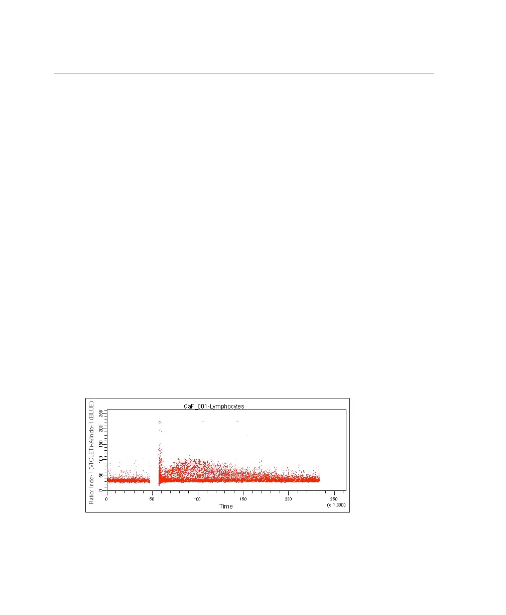
When normal cells are analyzed for calcium flux with indo-1 by flow cytometry,
a shift in the violet/blue ratio is obtained (Figure 5-1). A break in data occurs
when the stimulus is added to the sample tube. The increase in the ratio over time
reflects the increase in intracellular Ca
++
concentration.
Figure 5-1 Calcium flux data
LSR2.book Page 88 Tuesday, April 25, 2006 3:34 PM

Table of Contents

Related product manuals