EasyManua.ls Logo

CFG STE35SR - Maintenance Interval for Hydraulic Breaker

Default Icon
161 pages
Print Icon
To Next Page IconTo Next Page
To Next Page IconTo Next Page
To Previous Page IconTo Previous Page
To Previous Page IconTo Previous Page
Loading...
OPERATION & MAINTENANCE MANUAL STE35SR
113
Coolant - replacement (recommended)
Maintenance should be performed at the same time every 250, 500 and 1000 hours
Notice: Special tools are required for inspection and maintenance. Please contact CFG dealer.
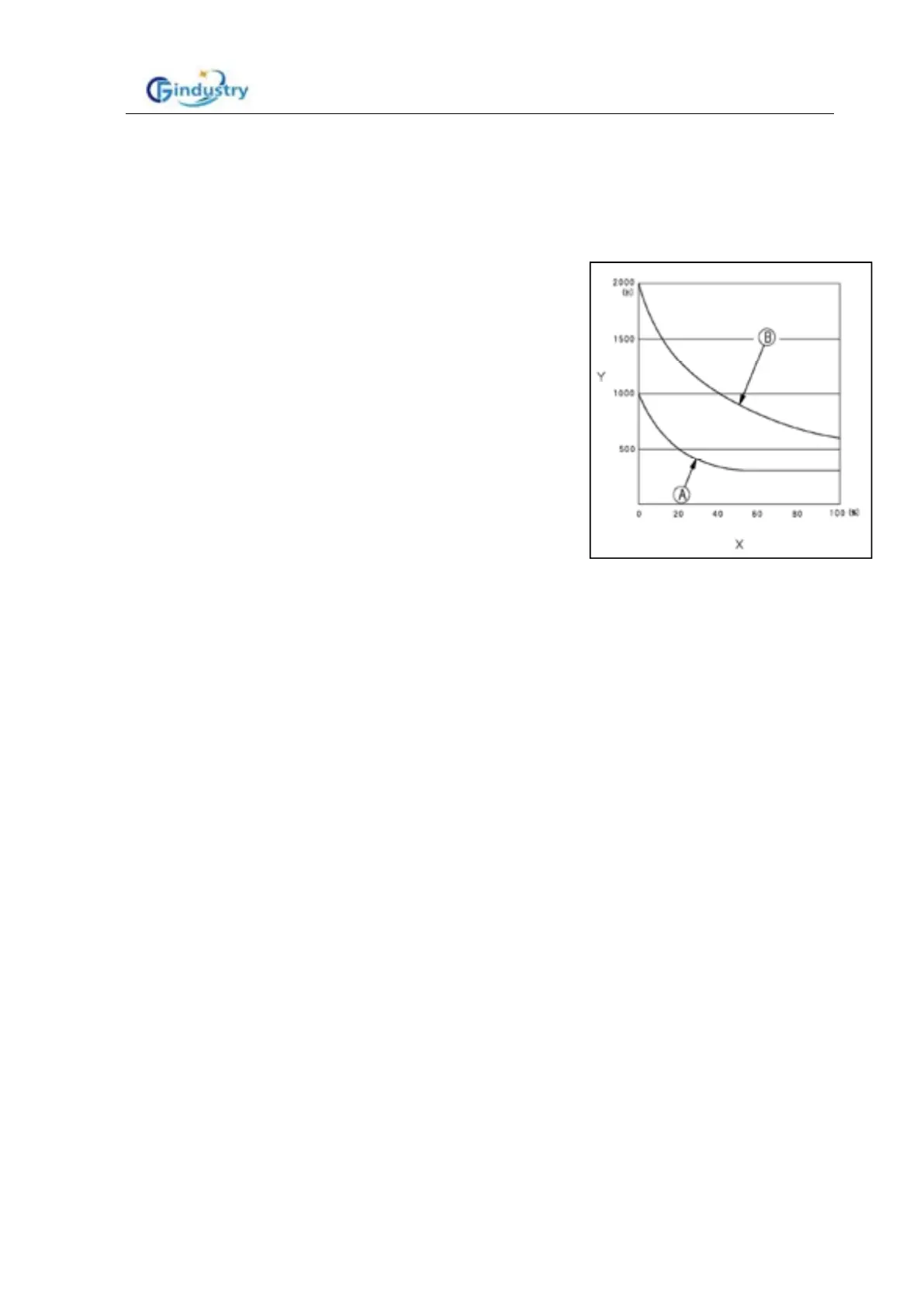
Maintenance Interval for Hydraulic Breaker
For machine equipped with a hydraulic breaker, the hydraulic
oil deteriorates faster than for normal bucket digging
operations, so set the maintenance intervals as follows.
Replace hydraulic filter element
On a new machine, replace the element after the first 100 to
150 hours, then carry out further replacement of the element
according to the table on the right.
Change oil in hydraulic tank
Change the oil according to the table on the right.
X: Breaker operating ratio (%)
Y: Replacement interval (H)
(A): Hydraulic oil return filter, hydraulic tank breathing valve
filter, pilot filter replacement cycle
(B): Hydraulic oil replacement cycle
REMARK:
Breaker operating ratio 100% means that only the breaker is used
Breaker operating ratio 0% means that the breaker is not used
The hydraulic mailbox breathing valve filter element needs to be cleaned irregularly in the
replacement cycle.

Table of Contents