EasyManua.ls Logo

CONQUEST 90 - Page 13

CONQUEST 90
126 pages
Print Icon
To Next Page IconTo Next Page
To Next Page IconTo Next Page
To Previous Page IconTo Previous Page
To Previous Page IconTo Previous Page
Loading...
TABLES
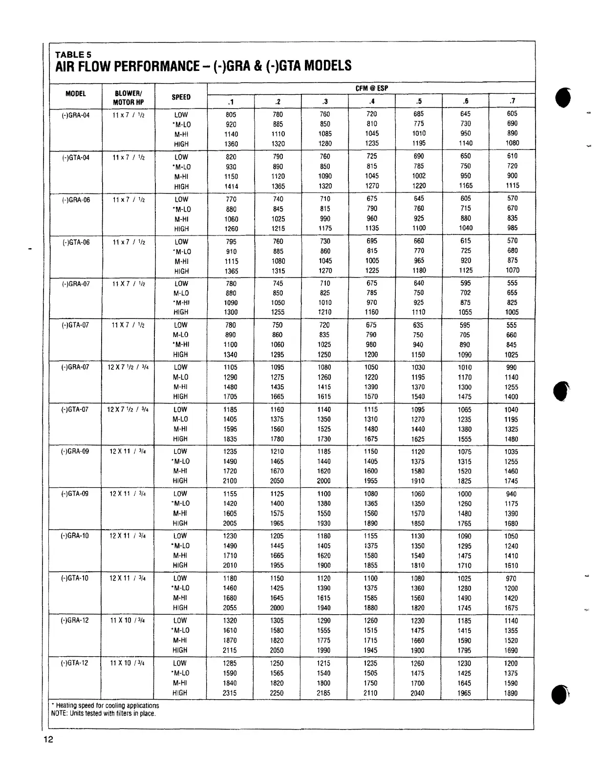
AIR FLOW PERFORMANCE-(-)GRA& (-)GTA MODELS
MODEL
BLOWER/
CFM@ESP
MOTORHP
SPEED
.1
.2
.3
.4 .5
.6
.7
(·)GRA-04 11x7/
1
/2
LOW 805
780
760
720 685
645 605
•r,HO
920
885
850
810
775
730
690
M-HI 1140
1110
1085
1045 1010 950
890
HIGH 1360
1320
1280
1235
1195
1140 1080
(-)GTA-04
11 x 7
I ½ LOW
820
790 760
725
690
650 610
•M-LO
930 890
850
815 785 750
720
M·HI
1150 1120
1090
1045 1002 950 900
HIGH
1414
1365
1320
1270 1220 1165
1115
(-)GRA-06 11
x7 I ½
LOW 770
740
710 675
645 605
570
'M-LO 880
845
815
790
760
715 670
M-HI
1060
1025
990
960
925 880 835
HIGH
1260
1215
1175
1135 1100 1040 985
(-)GTA-06 11
X 7 / 1f2
LOW
795
760 730
695
660
615 570
*M-LO
910 885 860
815 770 725 680
M-HI 1115
1080
1045
1005 965 920
675
HIGH 1365
1315
1270
1225 1180 1125
1070
(-)GRA-07
11 X 7 /
112
LOW 780
745 710
675 640 595 555
M·LO 880 850
825
785 750 702
655
•M-HI
1090
1050
1010 970 925 875
825
HIGH
1300 1255
1210
1160 1110 1055 1005
(-)GTA-07
11 X 7
I 1/2
LOW 780 750 720
675
635 595 555
M-LO
690
860 835 790
750 705
660
'M-HI 1100 1060 1025
980 940 890
845
HIGH
1340 1295 1250 1200 1150
1090 1025
(-)GRA-07
12X71/2 /
¾
LOW 1105 1095 1080 1050 1030
1010 990
M-LO
1290 1275 1260 1220 1195
1170
1140
M-HI
1480
1435
1415
1390
1370
1300
1255
HIGH
1705 1665
1615 1570
1540 1475
1400
(·)GTA-07
12X 7 ½ /
¾
LOW 1185
1160 1140 1115
1095 1065 1040
M-LO
1405 1375 1350 1310
1270 1235 1195
M·HI 1595 1560 1525 1480 1440
1380 1325
HIGH
1835 1780 1730 1675 1625 1555 1480
(·)GRA-09
12X11 /
¾
LOW 1235 1210 1185 1150 1120
1075 1035
'M-LO
1490 1465
1440 1405
1375
1315 1255
M-HI
1720
1670
1620
1600
1580
1520
1460
HIGH
2100 2050 2000
1955
1910 1825 1745
(·)GTA-09
12X11 / ¾
LOW 1155 1125 1100 1080
1060 1000 940
*M-LO
1420
1400 1380
1365
1350
1260
1175
M-HI
1605 1575 1550 1560
1570 1480 1390
HIGH
2005 1965 1930 1890 1850
1765 1680
(·)GRA-10
12X11
LOW 1230
1205
1180 1155 1130
1090 1050
*M-LO
1490 1445 1405 1375 1350
1295
1240
M-HI
1710
1665 1620 1580
1540 1475
1410
HIGH
2010 1955 1900 1855 1810
1710 1610
(·)GTA-10
12X11/¾
LOW 1180 1150 1120 1100 1080
1025 970
•M-LO
1460 1425 1390 1375 1360
1280 1200
M-HI
1680 1645 1615 1585 1560
1490 1420
HIGH
2055 2000
1940 1880
1820
1745
1675
(·)GRA-12
11 X10
LOW 1320 1305
1290
1260
1230
1185
1140
*M-LO
1610 1580 1555 1515
1475 1415 1355
M-HI
1870
1820
1775
1715 1660 1590 1520
HIGH 2115
2050
1990 1945
1900 1795 1690
{·)GTA-12
11 X 10 /3/,
LOW 1285 1250 1215 1235
1260 1230 1200
*M-LO
1590
1565 1540 1505
1475 1425 1375
M-HI
1840 1820 1800 1750
1700
1645 1590
HIGH
2315
2250 2185 2110
2040 1965 1890
• Heating speed for cooling applications
NOTE:Units tested with filters in place.
12

Table of Contents