EasyManua.ls Logo

Motorola Astro XTL 1500 - Figure 5-32. no 16.8 Mhz Reference Oscillator Frequency (700-800 Mhz); No 16.8 Mhz Reference Oscillator Frequency (700-800 Mhz)

Motorola Astro XTL 1500
452 pages
To Next Page IconTo Next Page
To Next Page IconTo Next Page
To Previous Page IconTo Previous Page
To Previous Page IconTo Previous Page
Loading...
6815854H01-A June 15, 2005
Troubleshooting Charts: Flowcharts 5-43
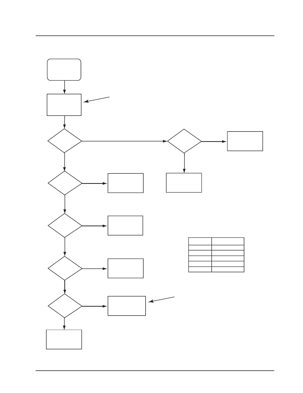
5.6.32 No 16.8 MHz Reference Oscillator Frequency (700–800 MHz)
Figure 5-32. No 16.8 MHz Reference Oscillator Frequency (700–800 MHz)
MAEPF-27813-O
U6752
DC Voltages
Pin 1
Pin 2
Pin 3
Pin 4
Pin 5
No connection
1.5
Ground
1.5
3
>800mVpp
16.8MHz?
Probe pin 3
of Y6750 for
16.8MHz
START
No 16.8MHz
Reference
No
Yes
>800mVpp
at TP6764?
No
Yes
Check
C6817
Replace
Y6750
3.0VDC
at pin 1 of
Y6750?
No
Yes
Check 3.0V
regulator path
from U6750
>500mVpp
at pin 2
U6752?
No
Yes
Check C6758
and R6756
>3.0Vpp
at pin 4
U6752?
No
Yes
Check
U6752
>1.4Vpp
at TP6762?
No
Check L6756,
C6755, C6759,
R6756 and C6760
Measure 16.8MHz Signals
with Oscilloscope having a
bandwidth >100MHz.
NOTE: L6756 and C6755 filter the
distorted output of U6752 resulting
in a clean sinusoidal 16.8MHz signal.
R6757 and C6759 adjust the amplitude.
Check Controller
Section and/or
ABACUS IC
U6000
Yes

Table of Contents

Related product manuals