EasyManua.ls Logo

Motorola Astro XTL 1500 - Figure 5-47. RFPA Power Control-No K9.1 V (700-800 Mhz); RFPA Power Control-No K9.1 V (700-800 Mhz)

Motorola Astro XTL 1500
452 pages
To Next Page IconTo Next Page
To Next Page IconTo Next Page
To Previous Page IconTo Previous Page
To Previous Page IconTo Previous Page
Loading...
June 15, 2005 6815854H01-A
5-60 Troubleshooting Charts: Flowcharts
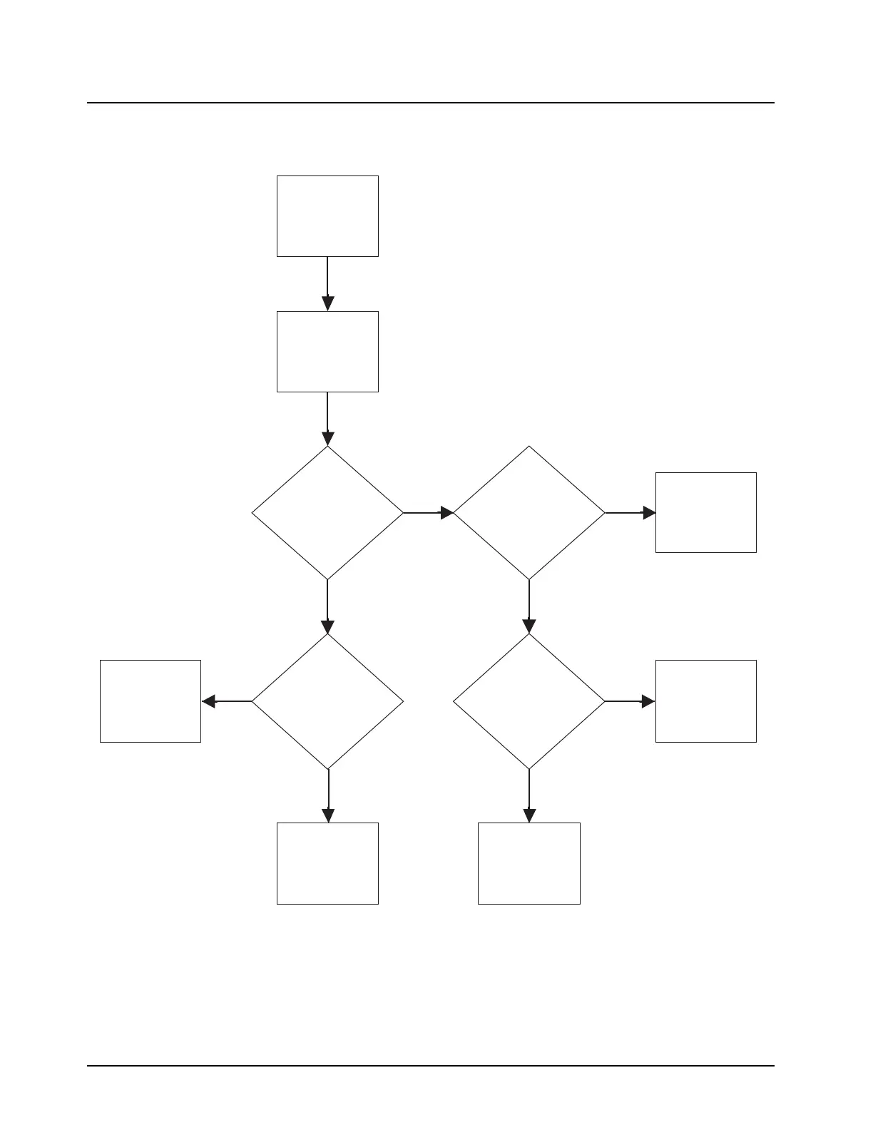
5.6.49 RFPA Power Control—No K9.1V (700–800 MHz)
Figure 5-47. RFPA Power Control—No K9.1V (700–800 MHz)
Read General
Notes before
proceeding. Read
specific notes as
indicated
START
Is 9.3V present at
Q0952, pin 5?
Yes
Is Q0952, pin 4
< 0.5V when mic
button is depressed?
Repair/replace
Q0952
Yes
No
Is K9.1V_EN > 2.0V
when mic button is
depressed?
No
Repair/replace
Q0951
Is A+ present at U0951,
pin 4?
No
Yes
See GPIO in
CONTROLLER
section
Repair/replace
U0951
Yes
Connect battery
cable to supply
13.6V
No
MAEPF-27926-O

Table of Contents

Related product manuals