EasyManua.ls Logo

Omron SYSDRIVE 3G3JV - Page 86

Omron SYSDRIVE 3G3JV
246 pages
Print Icon
To Next Page IconTo Next Page
To Next Page IconTo Next Page
To Previous Page IconTo Previous Page
To Previous Page IconTo Previous Page
Loading...
5-5
Note 2. With 400-V Inverters, the values for the upper limit of setting ranges and the default settings
will be twice those given in the above table.
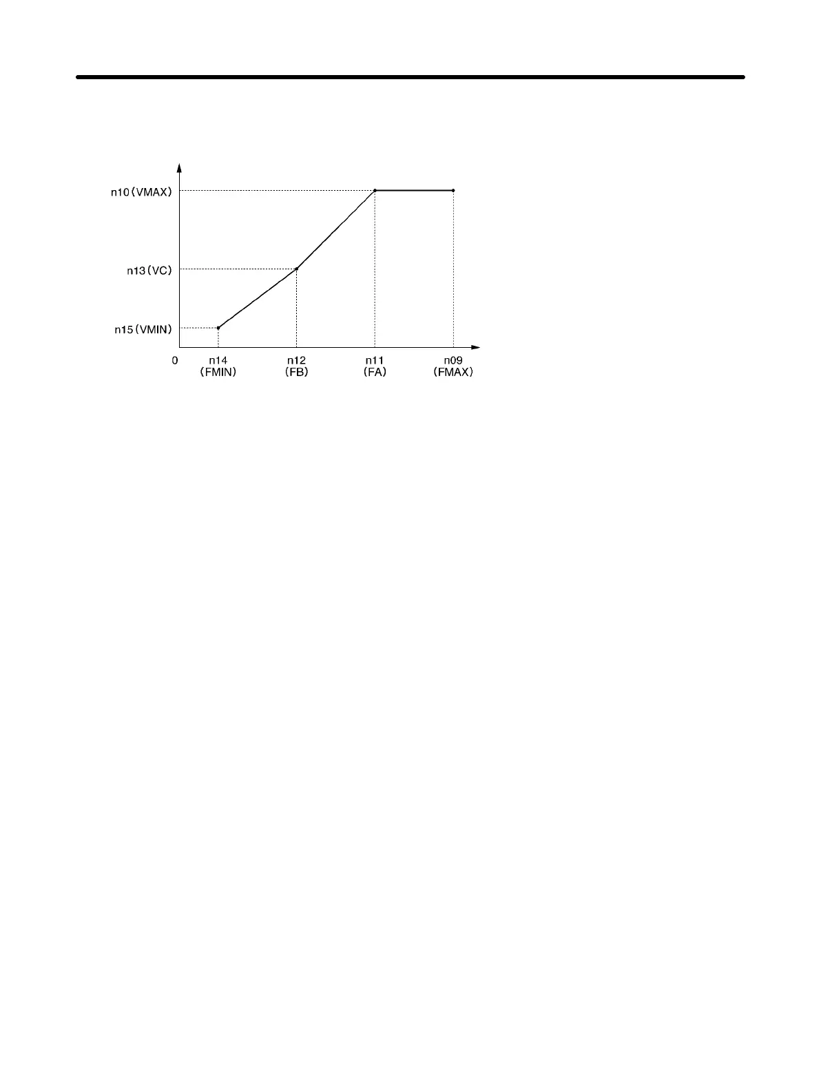
Output voltage
(V)
Note 1. Set the parameters so that the fol-
lowing condition will be satisfied.
n14 x n12 < n11 x n09
Note 2. The value set in n13 will be ignored if
parameters n14 and n12 are the
same in value.
Frequency (Hz)
Set the rated motor input frequency to the maximum voltage frequency (FMAX) while the rated motor
input voltage is set to the maximum output voltage (VMAX).
The vertical-axis load or the load with high viscous friction may require high torque at low speed. If the
torque is insufficient at low speed, increase the voltage in the low-speed range by 1 V, provided that no
overload (OL1 or OL2) is detected. If an overload is detected, decrease the set values or consider the
use of an Inverter model with a higher capacity.
The required torque of fan or pump control increases in proportion to the square of the speed. By set-
ting a quadratic V/f pattern to increase the voltage in the low-speed range, the power consumption of
the system will increase.
Basic Operation
Chapter 5

Table of Contents

Other manuals for Omron SYSDRIVE 3G3JV

Related product manuals