EasyManua.ls Logo

Siemens SIRIUS 3RW44 - Page 98

Siemens SIRIUS 3RW44
262 pages
To Next Page IconTo Next Page
To Next Page IconTo Next Page
To Previous Page IconTo Previous Page
To Previous Page IconTo Previous Page
Loading...
Device Functions
SIRIUS 3RW44 manual
6-6 GWA 4NEB 535 2195-02 DS 06
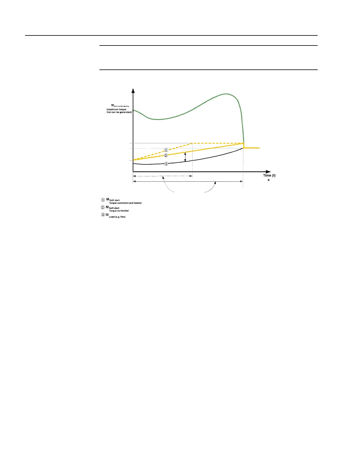
Note
The torque generated in the motor and controlled by the soft starter can at no
time be higher than the value of a similar direct on line start at the same speed.
Figure 6-3: Function principle of torque control
Typical applications for torque control
Torque control is suitable for all applications, especially in cases where a
consistent and smooth start is required. For machines requiring a breakaway
pulse (inverse load response, e.g. in mills or crushers), the breakaway pulse
must be set as described in Chapter 6.2.3 "Breakaway Pulse in Combination
with the Voltage Ramp or Torque Control Starting Mode". The "Torque
control+current limiting (M+current limiting)" starting mode is recommended for
heavy starting (refer to Chapter 6.2.4 "Current Limiting in Combination with the
Voltage Ramp or Torque Control Starting Mode").
Parameterizable
limiting torque
Parameterizable
ramp time
Motor
torque (M)
Nm
Motor has run up and is
in nominal operation (n ).
The runup is detected and the
bypass contacts close.
Nom
N
Nom
Parameterizable
start voltage
Acceleration
torque
5_03_Funktionsprinzip Drehmomentregelung .wmf

Table of Contents

Other manuals for Siemens SIRIUS 3RW44

Related product manuals