EasyManua.ls Logo

Siemens SIRIUS 3RW44 - Flow Diagram PROFIBUS DP - Starting the Soft Starter

Siemens SIRIUS 3RW44
262 pages
To Next Page IconTo Next Page
To Next Page IconTo Next Page
To Previous Page IconTo Previous Page
To Previous Page IconTo Previous Page
Loading...
PROFIBUS DP Communication Module
SIRIUS 3RW44 manual
8-22 GWA 4NEB 535 2195-02 DS 06
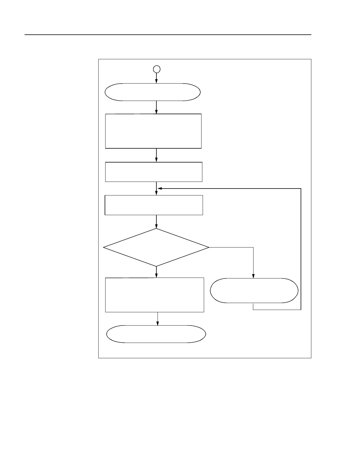
8.6.5 Flow Diagram PROFIBUS DP - Starting the Soft Starter
Figure 8-3: PROFIBUS DP - starting the soft starter
Remedy: Match the configuration
data to the
structure or vice versa
Switch on the supply voltage
for the soft starter
The soft starter sets the outputs to "0"
and accepts the set station
address
The soft starter receives
the configuration data from the DP
master
The "BUS" LED lights up green;
Inputs and outputs are enabled; data
exchange is possible
The "BUS" LED is red
No
Yes
Ready for operation
Do the configuration
data match the actual structure?

Table of Contents

Other manuals for Siemens SIRIUS 3RW44

Related product manuals