EasyManua.ls Logo

Steketee EC-WEEDER - Page 134

Default Icon
138 pages
Print Icon
To Next Page IconTo Next Page
To Next Page IconTo Next Page
To Previous Page IconTo Previous Page
To Previous Page IconTo Previous Page
Loading...
Enter the calculated value in the result table.
Enter the calculated value in the result table.
Enter the calculated value in the result table. Enter the permissible
gross weight (see tractor operating instructions) in the result table.
Enter the calculated value in the result table. Enter the permissible front
axle load (see tractor operating instructions) in the result table.
Enter the calculated value in the result table. Enter the permissible back
axle load (see tractor operating instructions) in the result table.
Enter the calculated value in the result table.
Permissible tyre load-carrying capacity from the documentation of the
tractor manufacturer or tyre manufacturer.
Enter twice the value (for 2 tyres) in the result table.
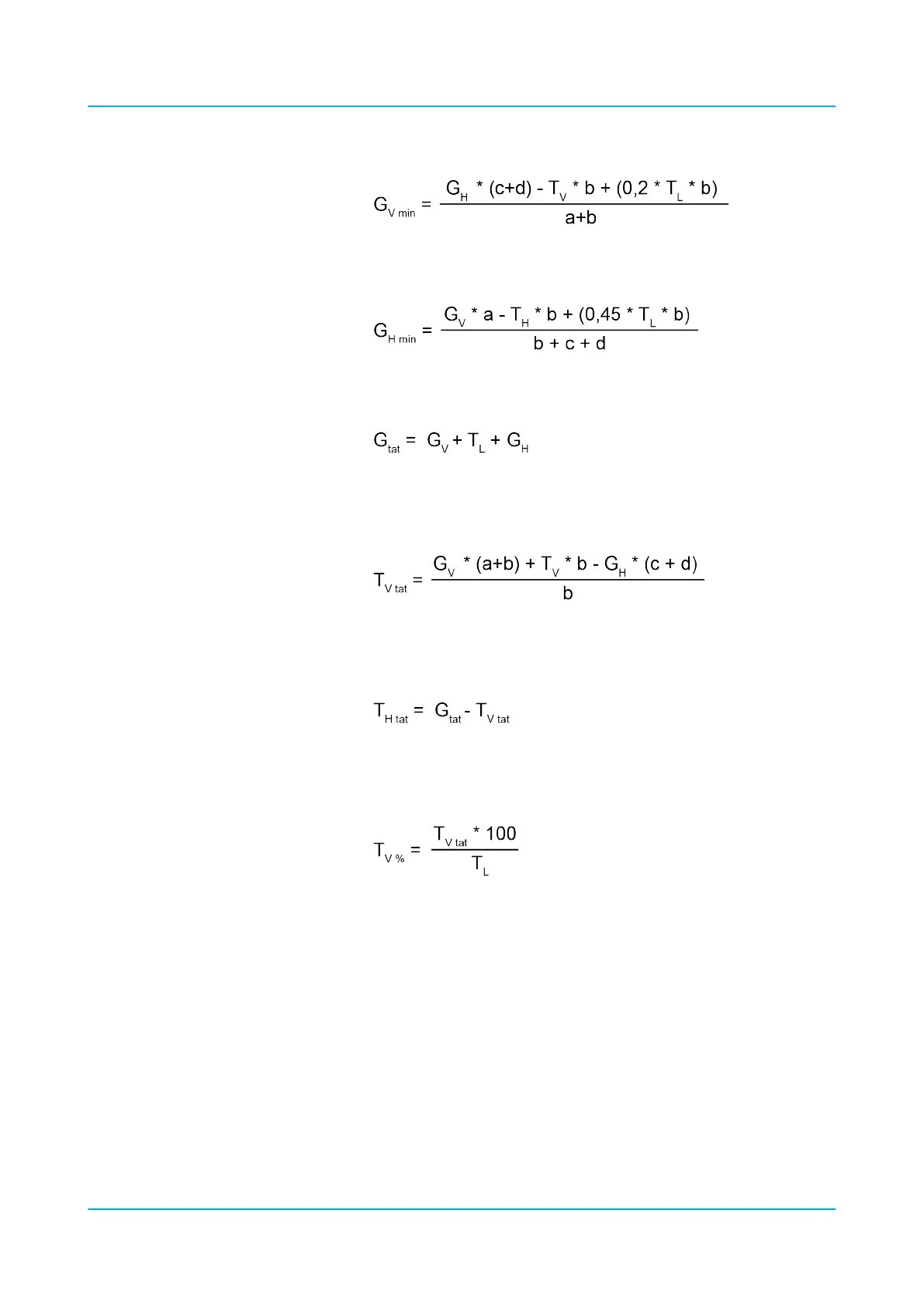
Minimum ballasting, FrontG
Vmin
for
rear-mounted machine
Minimum ballasting, RearG
Hmin
for
front mounted machine
Actual gross weight G
tat
Actual front axle load T
Vtat
Actual back axle load T
Htat
Front axle load as a percentage T
V%
Tyre load-carrying capacity
Calculation of axle load and ballasting for mounted machines
en-GB | Item no. 17513597 | BA 02/05-2022 128

Table of Contents