EasyManua.ls Logo

ABB ACS355 series - Programmable protection functions

ABB ACS355 series
436 pages
Print Icon
To Next Page IconTo Next Page
To Next Page IconTo Next Page
To Previous Page IconTo Previous Page
To Previous Page IconTo Previous Page
Loading...
Program features 147
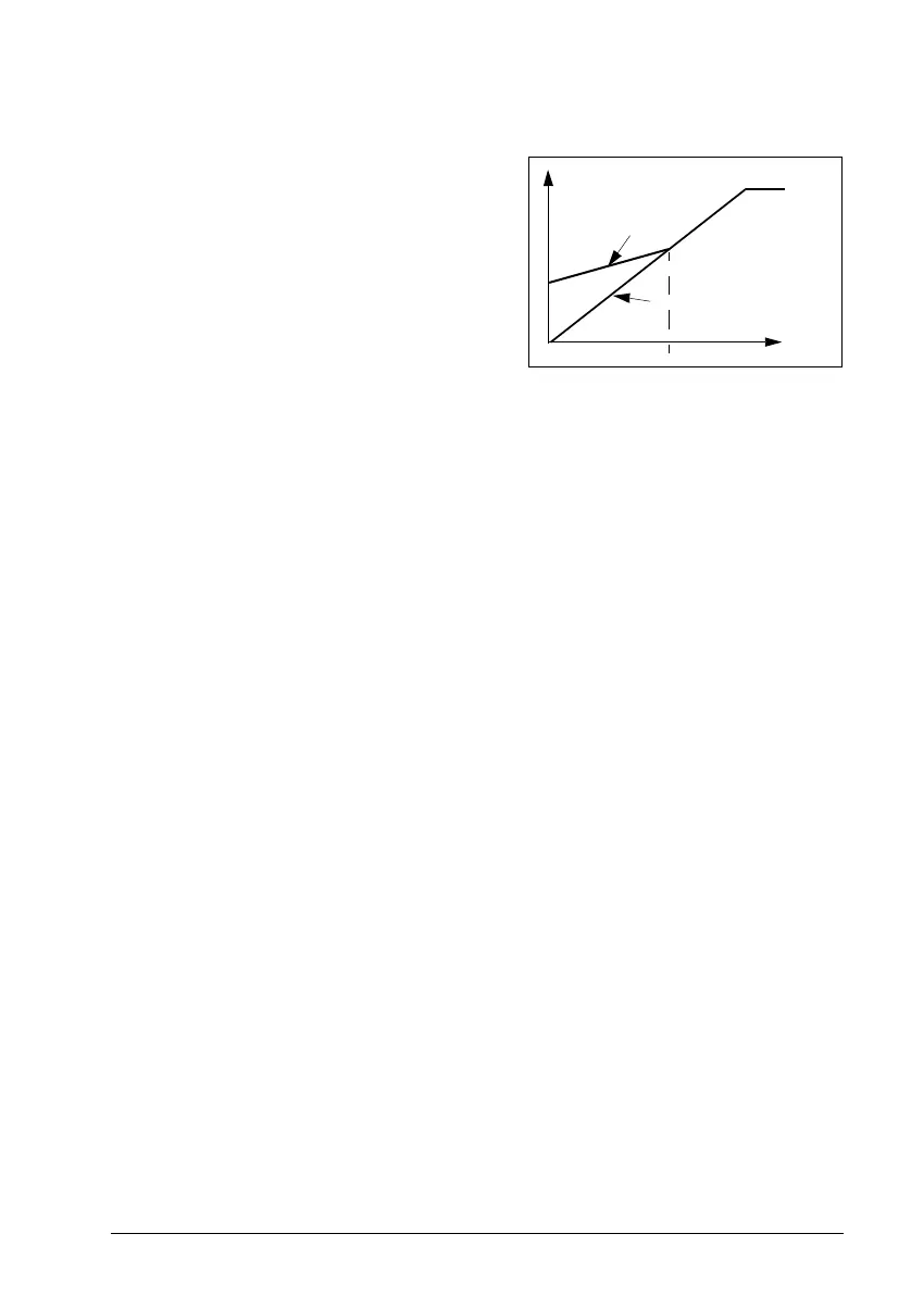
IR compensation for a scalar controlled drive
IR compensation is active only when the motor
control mode is scalar (see section Scalar
control on page 146). When IR compensation is
activated, the drive gives an extra voltage boost
to the motor at low speeds. IR compensation is
useful in applications that require high break-
away torque. In vector control, no IR
compensation is possible/needed.
Settings
Parameter 2603 IR COMP VOLT
Programmable protection functions
AI<Min
AI<Min function defines the drive operation if an analog input signal falls below the
set minimum limit.
Settings
Parameters 3001 AI<MIN FUNCTION, 3021 AI1 FAULT LIMIT and 3022 AI2 FAULT
LIMIT
Panel loss
Panel loss function defines the operation of the drive if the control panel selected as
the control location for the drive stops communicating.
Settings
Parameter 3002 PAN EL COMM ERR
External fault
External faults (1 and 2) can be supervised by defining one digital input as a source
for an external fault indication signal.
Settings
Parameters 3003 EXTERNAL FAULT 1 and 3004 EXTERNAL FAULT 2
Stall protection
The drive protects the motor in a stall situation. It is possible to adjust the supervision
limits (frequency, time) and choose how the drive reacts to the motor stall condition
(alarm indication / fault indication & drive stop / no reaction).
Motor voltage
f (Hz)
No compensation
IR compensation

Table of Contents

Other manuals for ABB ACS355 series

Related product manuals