EasyManua.ls Logo

BD LSR II - Page 97

BD LSR II
204 pages
Print Icon
To Next Page IconTo Next Page
To Next Page IconTo Next Page
To Previous Page IconTo Previous Page
To Previous Page IconTo Previous Page
Loading...
Chapter 5: Calcium Flux 97
7 Reinstall the tube on the SIP.
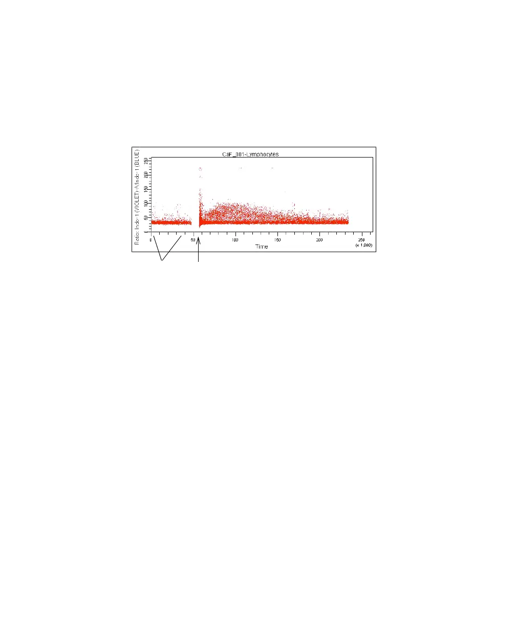
After a few seconds, the Ca
++
concentration begins to increase on the
time vs ratio plot (Figure 5-4). Acquisition stops automatically when the
Stopping Time is reached.
Figure 5-4 Cellular response to stimulus over time
8 Remove the tube from the cytometer.
9 Clean the fluidics system with 10% bleach for 5 minutes, and then with DI
water for 5 minutes.
; Tip Residual stimulus must be removed from the system. Any remaining
stimulus would activate cells in subsequent samples.
10 To run another sample, install the next sample tube on the SIP.
11 In the Acquisition Dashboard, click Next Tube to create a new tube, and
rename the new tube appropriately.
12 Repeat steps 3 through 11.
BD FACSDiva software does not include calcium flux analysis algorithms.
Export your data files for analysis in a suitable third-party application.
unstimulated stimulus
added
sample
LSR2.book Page 97 Tuesday, April 25, 2006 3:34 PM

Table of Contents

Related product manuals