EasyManua.ls Logo

Danfoss iC2-Micro Series - Page 54

Danfoss iC2-Micro Series
104 pages
Print Icon
To Next Page IconTo Next Page
To Next Page IconTo Next Page
To Previous Page IconTo Previous Page
To Previous Page IconTo Previous Page
Loading...
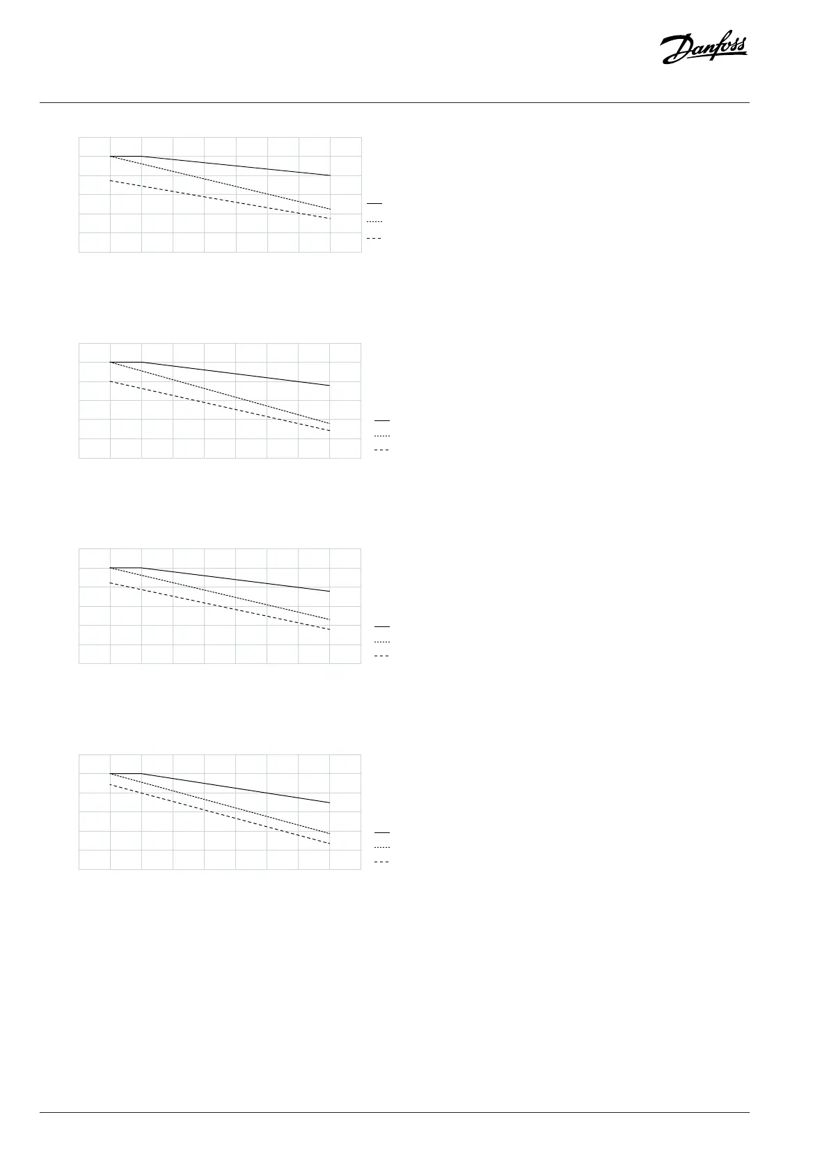
120
100
80
60
40
20
0
0
2
4 6 8 10 12 14 16 18
e30bv120.10
I
out
(%)
f
switch
(kHz)
40 °C (104 °F)
50 °C (122 °F)
55 °C (131 °F)
Figure 16: Derating of Output Current Versus Switching Frequency (MA02a 1x200–240VAC)
120
100
80
60
40
20
0
0
2
4
6
8 10 12 14 16 18
I
out
(%)
f
switch
(kHz)
e30bl436.10
40 °C (104 °F)
50 °C (122 °F)
55 °C (131 °F)
Figure 17: Derating of Output Current Versus Switching Frequency (MA01a 3x200–240 V AC)
120
100
80
60
40
20
0
0
2
4
6
8 10 12 14 16 18
I
out
(%)
f
switch
(kHz)
e30bl437.10
40 °C (104 °F)
50 °C (122 °F)
55 °C (131 °F)
Figure 18: Derating of Output Current Versus Switching Frequency (MA02a 3x200–240 V AC)
120
100
80
60
40
20
0
0
2
4
6
8 10 12 14 16 18
I
out
(%)
f
switch
(kHz)
e30bl438.10
40 °C (104 °F)
50 °C (122 °F)
55 °C (131 °F)
Figure 19: Derating of Output Current Versus Switching Frequency (MA03a 3x200–240 V AC)
54 | Danfoss A/S © 2024.08 AJ402315027937en-000401 / 130R1239
Design Guide | iC2-Micro Frequency Converters Specifications

Table of Contents

Related product manuals