EasyManua.ls Logo

Danfoss iC2-Micro Series - Page 84

Danfoss iC2-Micro Series
104 pages
Print Icon
To Next Page IconTo Next Page
To Next Page IconTo Next Page
To Previous Page IconTo Previous Page
To Previous Page IconTo Previous Page
Loading...
e30bb955.12
a
b
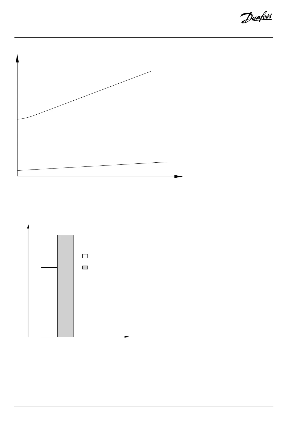
Motor cable length
Leakage current
Figure 43: Influence the Cable Length and Power Size on Leakage Current, P
a
> P
b
The leakage current also depends on the line distortion.
e30bb956.12
THDv=0%
THDv=5%
Leakage current
Figure 44: Influence of Line Distortion on Leakage Current
EN/IEC61800-5-1 (Power Drive System Product Standard) requires special care if the leakage current exceeds 3.5mA. Reinforce
grounding with the following protective ground connection requirements:
l Ground wire (terminal 95) of at least 10mm
2
(8AWG) cross-section.
l 2 separate ground wires that comply with the dimensioning rules.
84 | Danfoss A/S © 2024.08 AJ402315027937en-000401 / 130R1239
Design Guide | iC2-Micro Frequency Converters Electrical Installation Considerations

Table of Contents

Related product manuals