EasyManua.ls Logo

Epson TM-H6000III - Wpc1252

Epson TM-H6000III
136 pages
Print Icon
To Next Page IconTo Next Page
To Next Page IconTo Next Page
To Previous Page IconTo Previous Page
To Previous Page IconTo Previous Page
Loading...
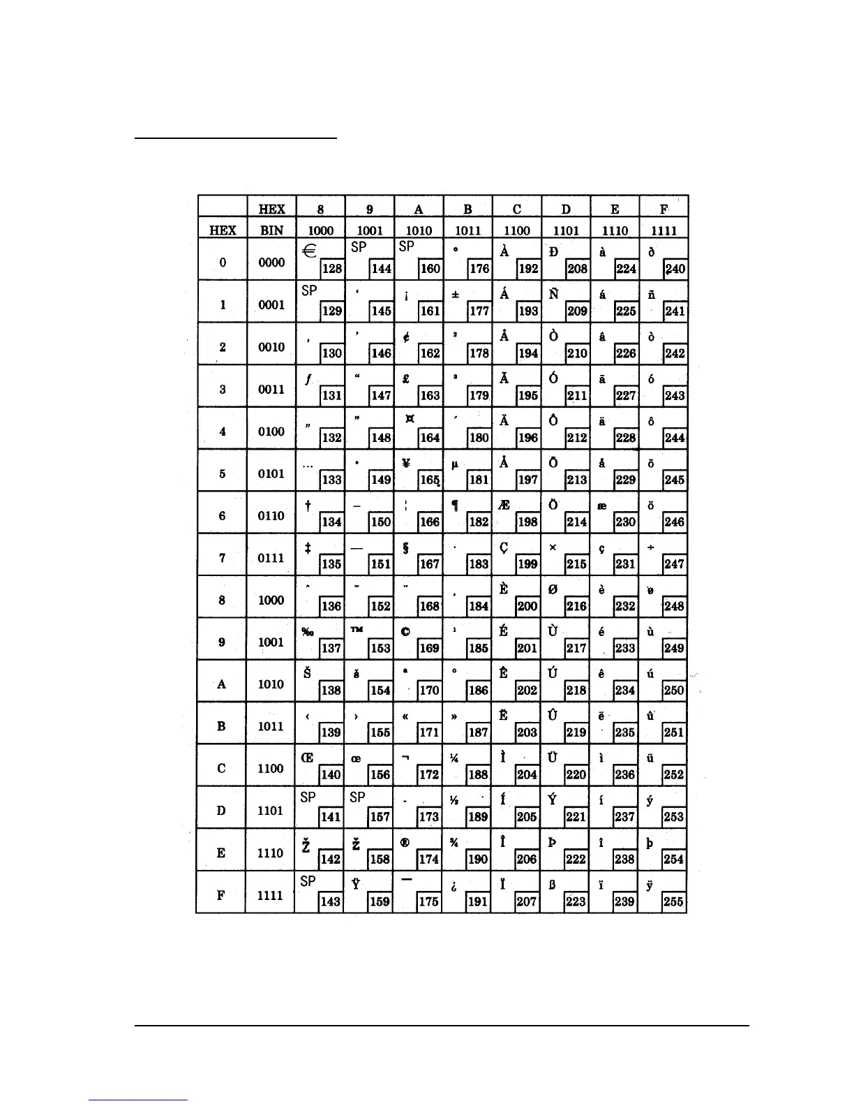
Rev. C Character Code Tables A-7
TM-H6000III Technical Reference Guide
A.7 Page 16 (WPC1252)

Table of Contents

Other manuals for Epson TM-H6000III

Related product manuals