EasyManua.ls Logo

SUNSTONE CDDP-A - Weld Formation Process; Weld Pressure Considerations

SUNSTONE CDDP-A
92 pages
Print Icon
To Next Page IconTo Next Page
To Next Page IconTo Next Page
To Previous Page IconTo Previous Page
To Previous Page IconTo Previous Page
Loading...
Questions? Call or Text +1-801-658-0015 • 3
e Micro Welder Experts
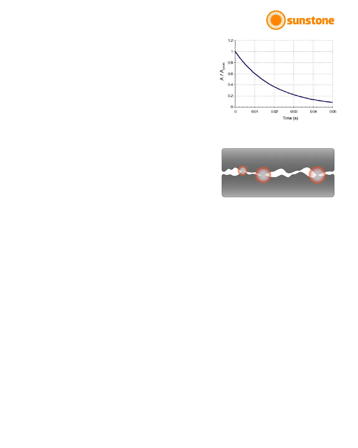
the rst few milliseconds of the welding process. Sunstone’s
proprietary technology allows the energy to be discharged with
very high peak currents, as seen in Figure 3.1 to produce the
best weld nuggets.
This technology is not only designed to increase the energy
delivered for weld formation but to also minimize the heat that
is spread to the surrounding material. This ‘heat-aected zone’
around the weld can suer from rapid heating and cooling from
the weld. But with Sunstone’s proprietary technology, this zone
can be localized to just a small spot around the weld.
WELD FORMATION
Spot welding relies on metal resistivity (resistance) to heat and
fuse metal. A large current is passed through the work piece
metal. Energy is dissipated due to metal resistance in the form
of heat which melts and fuses the weld materials. The welder
must overcome both the contact resistance and the bulk resis-
tance of the material in order to begin the melting process.
Figure 3.2 shows an example of a micro-scale surface prole.
On the micro-scale, material surfaces are rough and only
contact in a limited number of locations. In the rst few
milliseconds of weld formation, the high-resistance metal
bridges melt, allowing other bridges to come into contact to
continue the melting process. When all of the bridges have
fused, the contact resistance is zero. The bulk resistance of the
metal then plays the nal role in the weld formation.
Tips
WELD PRESSURE
Several other factors play a part in the contact resistance.
The larger the contact resistance the hotter the resultant
weld. On the micro-scale, contact resistance is reduced when
more metal bridges or contact points are formed (see Figure
3.2). Using more electrode pressure creates more metal
bridges, resulting in lower contact resistance and a cooler
weld. Conversely, light electrode pressure results in less metal
contact, higher resistance, and a hotter weld. An appropriate
amount of pressure ensures good weld strength.
Figure 3.2. On the micro scale, surface roughness
limits surface-to-surface contact. More contact
points result in lower resistance.
Figure 3.1. Sample capacitor discharge curve with
high peak current.

Table of Contents

Related product manuals