EasyManua.ls Logo

ABB SensyMaster FMT430 - Page 71

ABB SensyMaster FMT430
160 pages
Print Icon
To Next Page IconTo Next Page
To Next Page IconTo Next Page
To Previous Page IconTo Previous Page
To Previous Page IconTo Previous Page
Loading...
SensyMaster FMT430, FMT450 THERMAL MASS FLOWMETER | OI/FMT430/450-EN REV. B 71
Limits and rules when using ABB fieldbus accessories
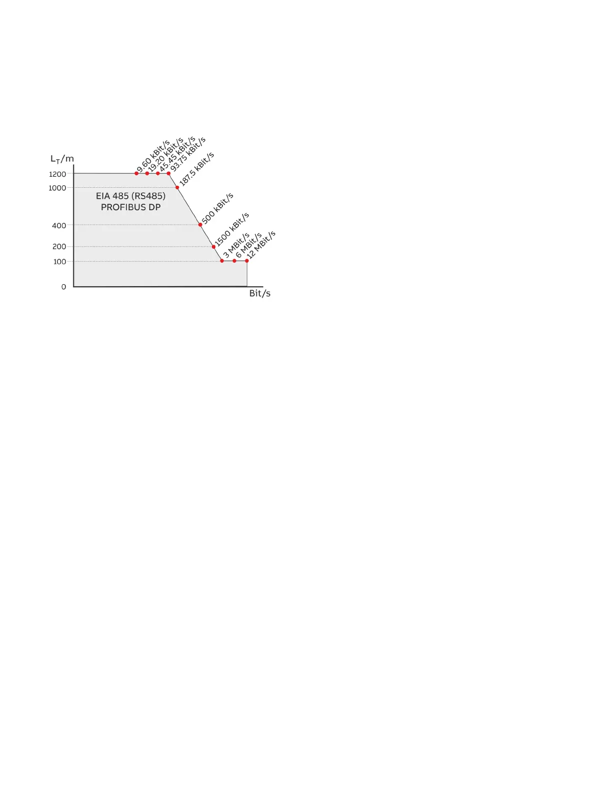
Figure 64: Bus cable length depends on the transmission rate
Pro PROFIBUS Line
(Line = Starts at DP Master and goes to last DP/PA Slave)
Approximately 4 to 8 DP segments through the repeater
(see repeater data sheets)
Recommended DP transfer rate 500 to 1500 kBit/s
The slowest DP node determines the transfer rate of the DP
line
Number of PROFIBUS DP and PA nodes ≤ 126 (addresses
0 to 125)
Per PROFIBUS DP segment
Number of DP nodes ≤ 32
(Node = Devices with / without PROFIBUS address)
Bus termination required at the beginning and end of each
DP segment!
Trunk cable length (L
T
) see diagram
(length dependent on transfer rate)
Cable length of at least 1 m between two DP nodes at
1500 kBit/s!
Spur cable length (L
S
), at ≤ 1500 kBit/s: LS ≤ 0.25 m,
at > 1500 kBit/s: LS = 0.00 m!
At 1500 kBit/s and ABB DP cable type A:
Sum of all spur cable lengths (L
S
) ≤ 6.60 m, trunk cable
length (L
T
) > 6.60 m,
total length = L
T
+ (Σ L
S
) ≤ 200 m,
maximum 22 DP nodes
(= 6.60 m / (0.25 m + 0.05 m spare))

Table of Contents

Related product manuals