EasyManua.ls Logo

Baumuller BM4400 - Output Frequency Dependent Continuous Current Derating BM4 XXX

Baumuller BM4400
360 pages
Print Icon
To Next Page IconTo Next Page
To Next Page IconTo Next Page
To Previous Page IconTo Previous Page
To Previous Page IconTo Previous Page
Loading...
Output frequency dependent continuous current derating BM4XXX
Instruction handbook b maXX BM4400, BM4600, BM4700
Document No.: 5.12008.07 Baumüller Nürnberg GmbH
112
of 358
3.7
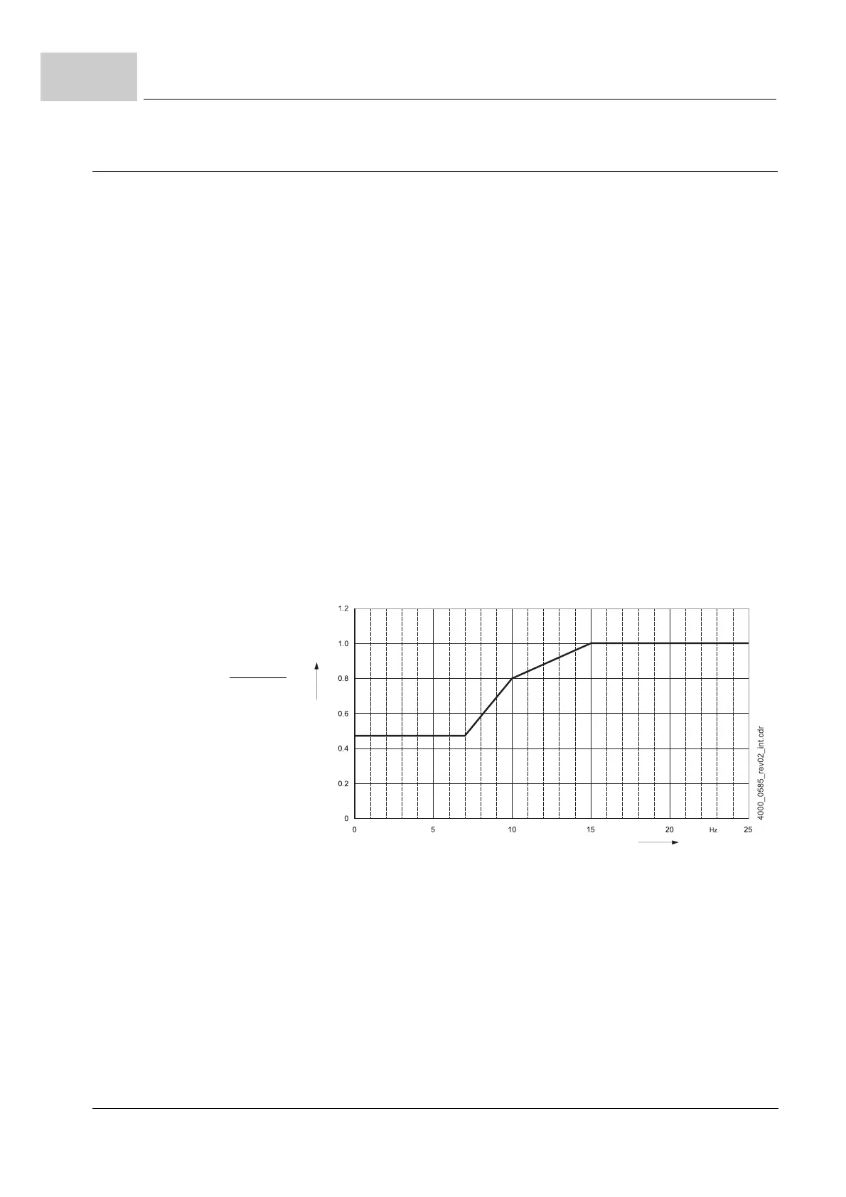
3.7 Output frequency dependent continuous current derating BM4XXX
The specified rated currents of all Baumüller devices are permitted continuously. The
electrical output frequency in S1 operation is permitted from 15 Hz onwards. The contin-
uously permitted output current must be reduced complying with the following character-
istic curve, if the statical output frequency is lower than 15 Hz and the frequency remains
between 0 and 15 Hz for more than 5 seconds.
Examples:
n Sp
eed control operations without positioning.
n Standstill operations, if
current is required to keep a torque / a force.
n At operations
, if it is likely that the mechanics block, for example when starting cold ex-
truders.
The following operations are not affected:
n T
ypical positioning operations.
n Operating motors, which use an operating brake at s
tandstill.
n Operations,
where the higher-level control has a standstill and block monitoring.
I
I
rated
The use of I
rated
is permitted, as long as the derating range is passed through quickly
enough. The frequency change must be 15 Hz/s.
Derating of the motor-sided output current I of the inverter against the rated output current
I
rated
is dependent on the static output frequency f of the inverter.
Statical output frequency of inverter f
Figure 52: Continuous current derating at a statical output frequency < 15 Hz

Table of Contents

Related product manuals