EasyManua.ls Logo

Bosch rexroth IndraDrive Mi KMS03 - KMS02 near motor servo drive

Bosch rexroth IndraDrive Mi KMS03
422 pages
Print Icon
To Next Page IconTo Next Page
To Next Page IconTo Next Page
To Previous Page IconTo Previous Page
To Previous Page IconTo Previous Page
Loading...
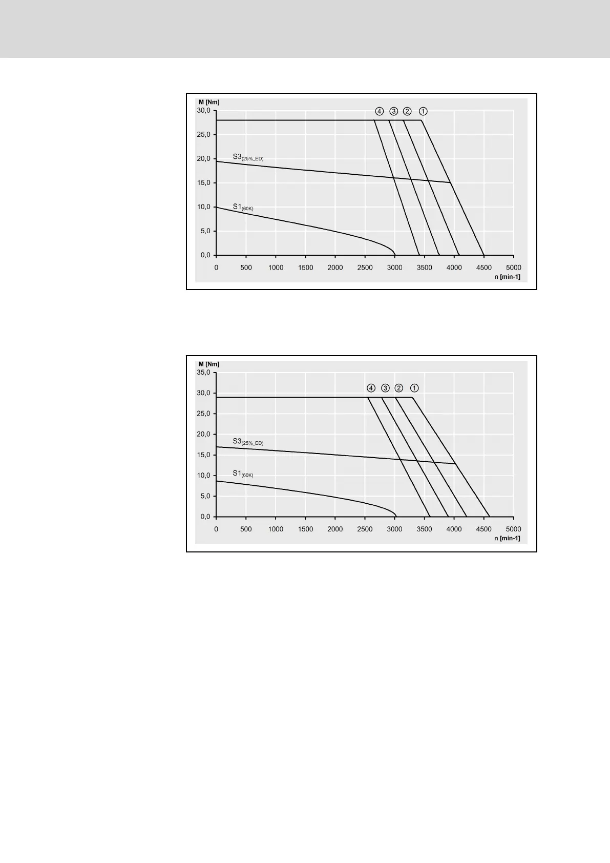
S1, S3 Characteristics apply to a PWM frequency of 4 kHz
(1) M
max
, controlled supply (1) 3 × AC 400 V
(2)(3)(4) M
max
, uncontrolled supply (2) 3 × AC 480 V, (3) 3 × AC 440 V,
(4) 3 × AC 400 V
Fig. 5-9: KSM02.1B-071C-35 characteristics
S1, S3 Characteristics apply to a PWM frequency of 4 kHz
(1) M
max
, controlled supply (1) 3 × AC 400 V
(2)(3)(4) M
max
, uncontrolled supply (2) 3 × AC 480 V, (3) 3 × AC 440 V,
(4) 3 × AC 400 V
Fig. 5-10: KSM02.1B-076C-35 characteristics
72/407
Technical data of the components
IndraDrive Mi Drive Systems with KCU02, KSM02,
KMS02/03, KMV03, KNK03, KLC03
Bosch Rexroth AG R911335703_Edition 04

Table of Contents

Related product manuals