EasyManua.ls Logo

MR TAPCON 250 - Page 144

MR TAPCON 250
216 pages
Print Icon
To Next Page IconTo Next Page
To Next Page IconTo Next Page
To Previous Page IconTo Previous Page
To Previous Page IconTo Previous Page
Loading...
9 Operation
Maschinenfabrik Reinhausen GmbH 2022144 8595028/00 ENTAPCON
®
250
To use R&X compensation, you have to enter the following line data:
Ohmic resistance load in mΩ/m
Inductive resistance load in mΩ/m
Length of line in km
1. Go to Settings > Parameters > On-load tap-changer regulator > Com-
pensation.
2. Select the desired parameter.
3. Set the desired parameter.
4. Press the Accept button to save the modified parameter.
Ohmic resistance load
You can use this parameter to set the ohmic resistance load.
Inductive resistance load
You can use this parameter to set the inductive resistance load.
Length of line
You can use this parameter to set the length of line.
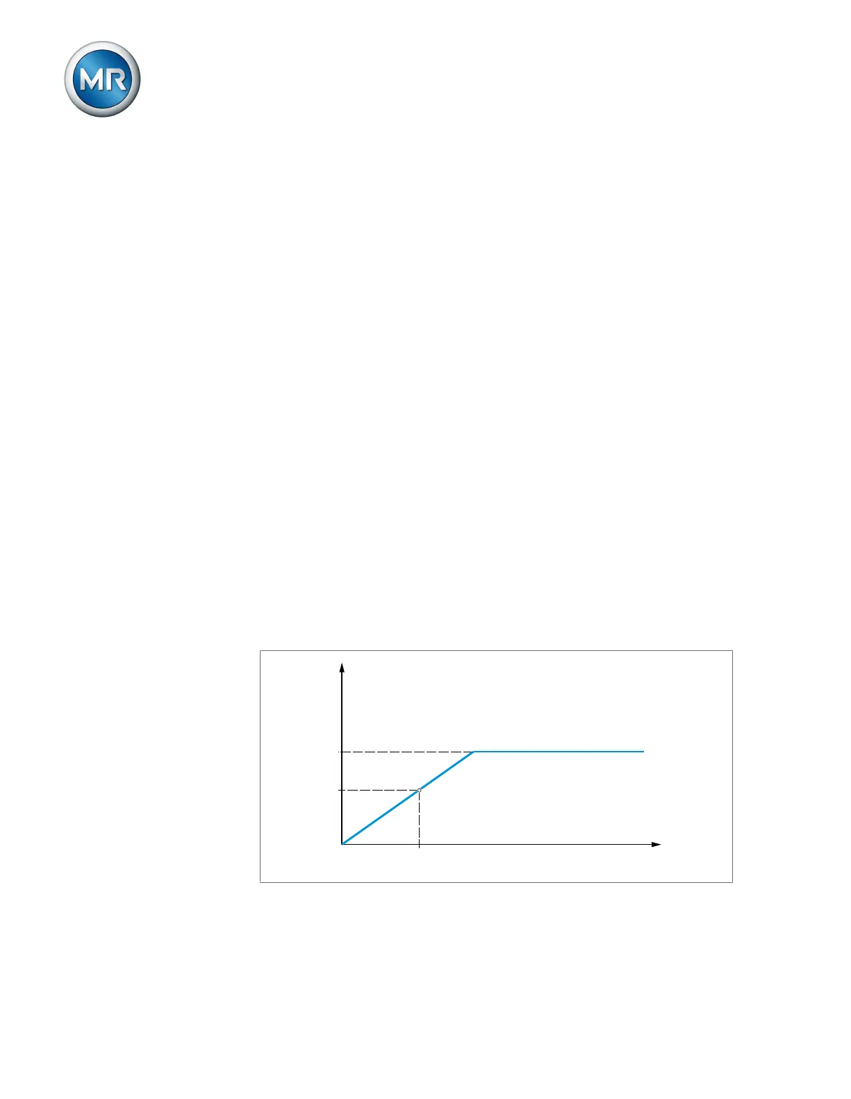
9.3.2.2 Z compensation
To keep the voltage constant for the consumer, you can use Z compensation
to activate a current-dependent voltage increase. You can also define a limit
value to avoid excess voltage on the transformer.
ΔU% max
ΔU%
ΔU%
I
Figure75: Z compensation

Table of Contents

Other manuals for MR TAPCON 250

Related product manuals