EasyManua.ls Logo

Allen-Bradley SLC 500

Allen-Bradley SLC 500
244 pages
To Next Page IconTo Next Page
To Next Page IconTo Next Page
To Previous Page IconTo Previous Page
To Previous Page IconTo Previous Page
Loading...
2–10
Selecting Your Hardware Components
Publication
1747-6.2
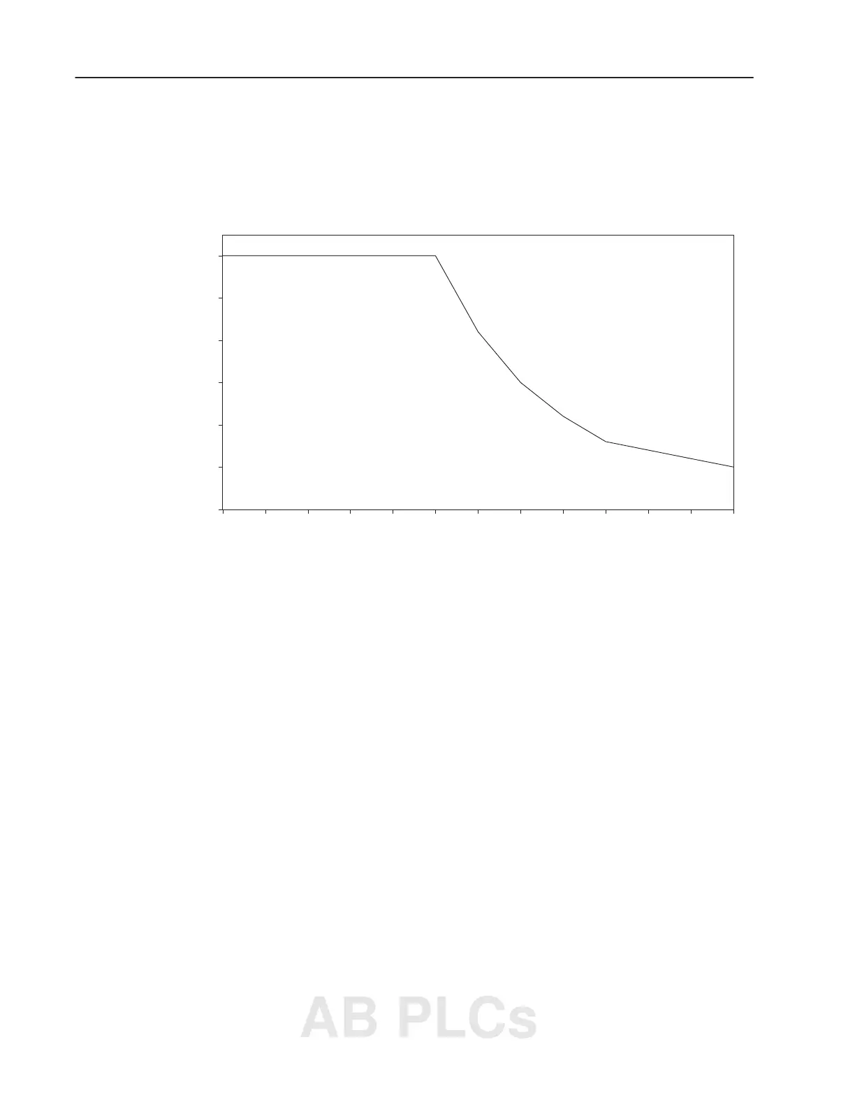
Memory Backup for the 1747-L511, SLC 5/01 Processor
The curve below illustrates the ability of the memory back-up
capacitor to maintain the contents of the RAM in a 1747-L511. To
back up the memory for a longer period of time, a lithium battery,
Catalog Number 1747-BA, is required.
0
5
10
15
20
25
30
0 102030405060
Temperature
°
C (
°F)
(77°) (86°) (95°) (104°)(113°) (122°) (131°) (140°)
Capacitor Memory Back-up Time
VS
Temperature
Time
(Days)
There are three types of I/O modules: input, output, and
combination. They are available in a wide variety of densities
including 4, 8, 16, and 32 point and can interface to AC, DC, and
TTL voltage levels. Output modules are available with solid-state
AC, solid-state DC, and relay contact type outputs.
For a complete listing of discrete I/O modules and specifications,
contact your Allen-Bradley sales office for the latest product data
entitled Discrete Input and Output Modules, publication 1746-2.35.
The SLC 500 family offers specialty I/O modules that enhance your
control system. Modules range in function from analog interface to
motion control, from communication to high-speed counting.
For a complete listing of specialty I/O modules and their
specifications, contact your Allen-Bradley sales office for the latest
system overview entitled SLC 500 Family of Small Programmable
Controllers, publication 1747-2.30, or for a related product data.
S
electin
g D
iscrete
I
/
O
Modules
S
electin
g S
pecialty
I
/
O
Modules
AB PLCs

Table of Contents

Other manuals for Allen-Bradley SLC 500

Related product manuals