EasyManua.ls Logo

artisan 8640B - FM Distortion Vs FM Rate; Multi-Function Meter and Annunciators; Output Level; Standard and Optional Audio Oscillators

artisan 8640B
411 pages
Print Icon
To Next Page IconTo Next Page
To Next Page IconTo Next Page
To Previous Page IconTo Previous Page
To Previous Page IconTo Previous Page
Loading...
Model 8640B TM 9-4935-601-14-7&P
1-43. For narrowband FM applications, a minimum full
scale deviation of 5 kHz is provided on the meter and
the PEAK DEVIATION range switch. When switching
from the CW to FM mode, there is negligible shift in
carrier frequency and no degradation in spectral purity
for these narrow deviations. With the generator in the
phase lock mode it is possible to modulate at rates from
50 Hz to 250 kHz with accurate narrowband FM and the
carrier drift stability of a crystal oscillator. Using the
unlocked mode, it is possible to modulate from dc to 250
kHz with a carrier drift stability of <10 ppm/10 min.
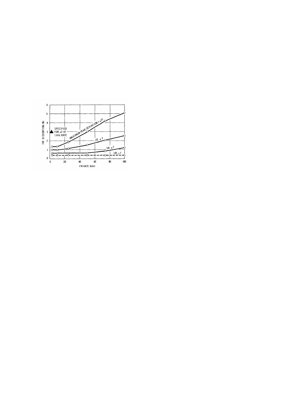
Figure 1-6. FM distortion vs FM rate measured in
the 8-16MHz band, but applies to all bands
(supplemental information only).
1-44. Standard and Optional Audio Oscillators
1-45. Standard tones for internal modulation are 400 Hz
and 1000 Hz. These tones are also available at the
front panel and can be varied in output level from 1 V to
10 mV into 600Q. Total harmonic distortion is typically
<0.25%.
1-46. Optionally available on the Signal Generator is a
built-in variable frequency oscillator covering the range
20 Hz to 600 kHz (fixed tones of 400 Hz and 1000 Hz
are also provided). This internal oscillator provides a
wide range of standard modulation frequencies and can
be used for receiver audio bandwidth testing as well.
Output from this modulation source is available
separately at the front panel and can be varied in level
from 3 V to 20 mV into 600Q. This audio oscillator,
Option 001, extends the usable CW range of the
generator down to 20 Hz.
1-47. Multi-Function Meter and Annunciators
1-48. The front panel on the Signal Generator monitors
the RF output level in dBm and volts, the AM
modulation percentage, and the FM peak deviation in
kHz or MHz. The accuracy of this meter is usually
better than +3% of reading. Pushbuttons select the
meter function, and scale lights indicate the range on
which the meter reading should be made. For RF
output level and AM%, the scales autorange for better
resolution. For FM, the appropriate scale is selected by
the PEAK DEVIATION range switch.
1-49. Also provided are three front panel annunciators
that indicate when certain settings of RF level and
modulation controls exceed specified limits. Besides
giving a warning indication, the annunciators instruct the
operator how to return the instrument to proper
operation.
1-50. For example, the REDUCE PEAK POWER
annunciator lights whenever the combined settings of
RF output level and AM modulation exceed the
maximum specified output level of +19 dBm. Hence for
100% AM, the REDUCE PEAK POWER light will stay
on until the RF level is reduced to +13 dBm.
1-51. The REDUCE PEAK DEVIATION annunciator
lights whenever the PEAK DEVIATION RANGE switch
has been set to exceed the allowable limits for any
output FREQUENCY RANGE. The specification allows
for a maximum peak deviation of 1% of the minimum
frequency in each band (e.g., 2.56 MHz on the 256 512
MHz band). When the annunciator lights, the FM is
automatically turned off the and FM meter reads zero.
1-52. The REDUCE FM VERNIER annunciator lights
whenever the FM input and FM vernier setting combine
to exceed the 1 volt drive level required to achieve the
maximum deviation indicated on the PEAK DEVIATION
range switch. When this occurs, either the FM vernier
or the amplitude of the incoming modulation signal
should be reduced to obtain specified FM performance.
1-53. Output Level 1-54. The wide output range of the
generator is achieved with a 10 dB step attenuator and
an 18 dB concentric vernier. Output levels can be read
directly on the attenuator dial or (for greater accuracy)
on the autoranging meter. The meter
1-5
Artisan Technology Group - Quality Instrumentation ... Guaranteed | (888) 88-SOURCE | www.artisantg.com

Table of Contents