EasyManua.ls Logo

BERTHOLD TECHNOLOGIES LB4710-080 - Page 31

Default Icon
227 pages
Print Icon
To Next Page IconTo Next Page
To Next Page IconTo Next Page
To Previous Page IconTo Previous Page
To Previous Page IconTo Previous Page
Loading...
Chapter 3 Functional Safety
Mini-Switch LB 471
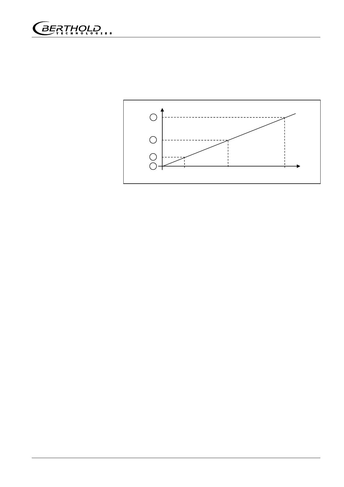
The time trend of PVD
avg
is nearly linear to the operating time in
the period up to 10 years. The above mentioned values apply only
to the T
Proof
interval, according to which a recurrent performance
check has to be carried out.
Time-dependent trend of PFD
avg
Time-dependent
trend of PFD
avg
PFD
avg
T
Proof
1
5
10
1
2
3
4

Table of Contents

Related product manuals