EasyManua.ls Logo

ECKELMANN CI 3000 - The Priority Concept; Extended Alarm Destinations

ECKELMANN CI 3000
134 pages
Print Icon
To Next Page IconTo Next Page
To Next Page IconTo Next Page
To Previous Page IconTo Previous Page
To Previous Page IconTo Previous Page
Loading...
Function of CI 3000
18
Version 2.09 09. April 2014
4.1.2.1 The priority concept
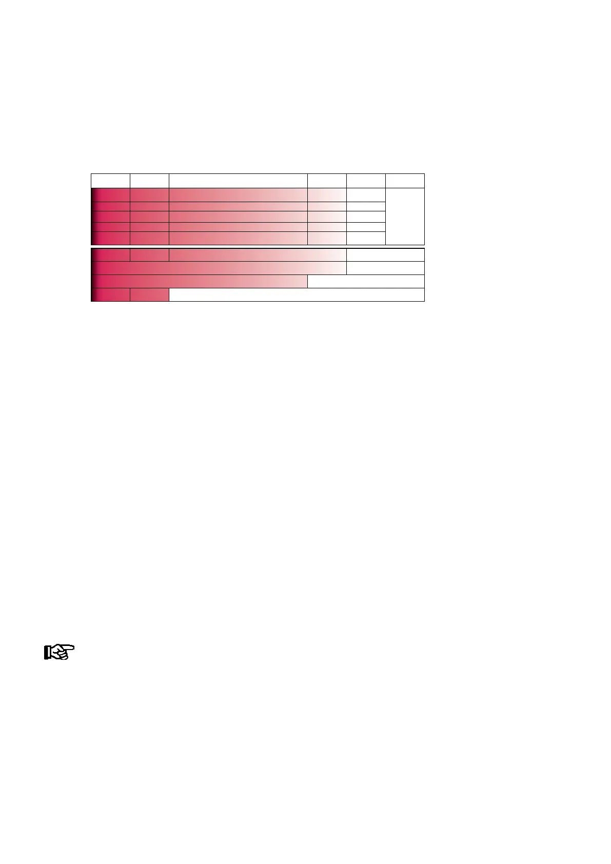
Possible priorities for alarms and messages have now been raised from the previous --, 0, 1 and 2 to 99. This
priority range is divided into 10 alarm groups (decades 0..9):
1
11
21
..
91
2
12
22
..
92
3..8
13..18
23..28
..
93..98
9
19
29
..
99
0
10
20
..
90
DECADE 0
DECADE 1
DECADE 2
..
DECADE 9
PRIOx1 PRIOx2 PRIOx ..x38 PRIOx9 PRIOx0
MODEM
-
AUX
(OPTIONAL)
-
INTERNAL SUMMER / BUZZER
-
LED
RELAIS
ZNG: 102 330 DEF
PRIO1 PRIO2
PRIO--
-
-
PRIO1 PRIO2
S The 1 and 2 priorities (1,11,21,...91 i.e. 2,12,22,...92) are reserved for high priority alarms
which activate the alarm relays ”PRIO1” and ”PRIO2”
as well as the LEDs ”PRIO1”, i.e. ”PRIO2” on the front of the store computer.
S The priority numbers 3 to 8 are designed for low priority alarms.
S The priority number 9 in each group (9,19,29,...99) is reserved for low priority alarms
which are only used to generate local alarm messages (e.g. open coldroom door).
S The lowest priority number in each group (0,10,20,..90) is reserved for messages
which are only recorded in the message list.
S If the priority is set to -- no message is generated
This division into alarm groups (decades) facilitates a maintenance-group-oriented alarm management.
For more information see chapter 4.1.2.2.
4.1.2.2 Extended alarm destinations
The extended alarm destinations 5..16 provide significantly more options for a differentiated remote alarm mes
saging compared to the EASY mode.
The following settings are possible with these alarm destinations:
- (Freely definable) Name of the alarm destination (only possible in LDSWin)
- Destination type/service: LDSWin, SMS via D1, D2, Anny Way or..., voice message and FAX,
- Telephone number with entry as to whether outside line or internal call
- Function as primary or alternative destination
- (When alternative destination) name of the primary destination
With SMS message transmission the telephone number of the SMS provider must be activated in
the telephone system otherwise no SMS transmission is possible:
D1: 0171-20 92 522 0171-25 21 002
D2: 0172-22 78 020
Anny Way: 0900-32 66 90 02
Furthermore, individual priorities or priority groups can be assigned:
Individual value or range with start and end values or ALL (without priority X9).
This enables alarms and messages to be specifically directed to the fault clearing service responsible for the
maintenance group.
By this means alarm signals are sent selectively, resulting in a reduction of service and maintenance costs and
more efficient servicing.

Table of Contents