EasyManua.ls Logo

Festo MPA-S - Page 145

Festo MPA-S
174 pages
Print Icon
To Next Page IconTo Next Page
To Next Page IconTo Next Page
To Previous Page IconTo Previous Page
To Previous Page IconTo Previous Page
Loading...
A Technical appendix
Festo P.BE-MPA-E N 1309f English 145
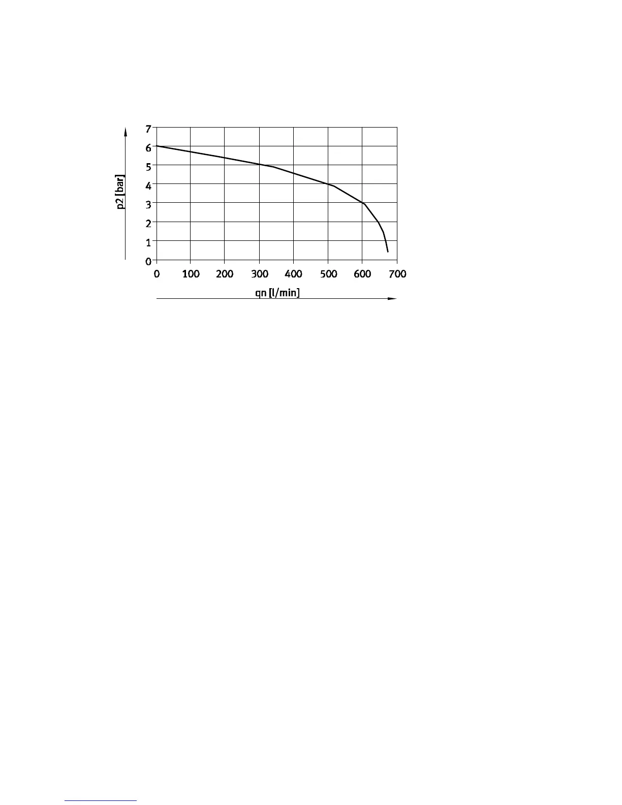
Reversible A pressure regulator MPA2
1
2
1 Output pressure 2 Flow rate
Fig. A.13 Diagram for size M PA2 of the reversible A pressure regulator (ident. code: PM and PK): Flow
as a function of the output pressure

Table of Contents

Related product manuals