EasyManua.ls Logo

Intermec CN51 - EA31 Extended Reading Range

Intermec CN51
170 pages
Print Icon
To Next Page IconTo Next Page
To Next Page IconTo Next Page
To Previous Page IconTo Previous Page
To Previous Page IconTo Previous Page
Loading...
Appendix A — Specifications
138 CN51 Mobile Computer User Manual
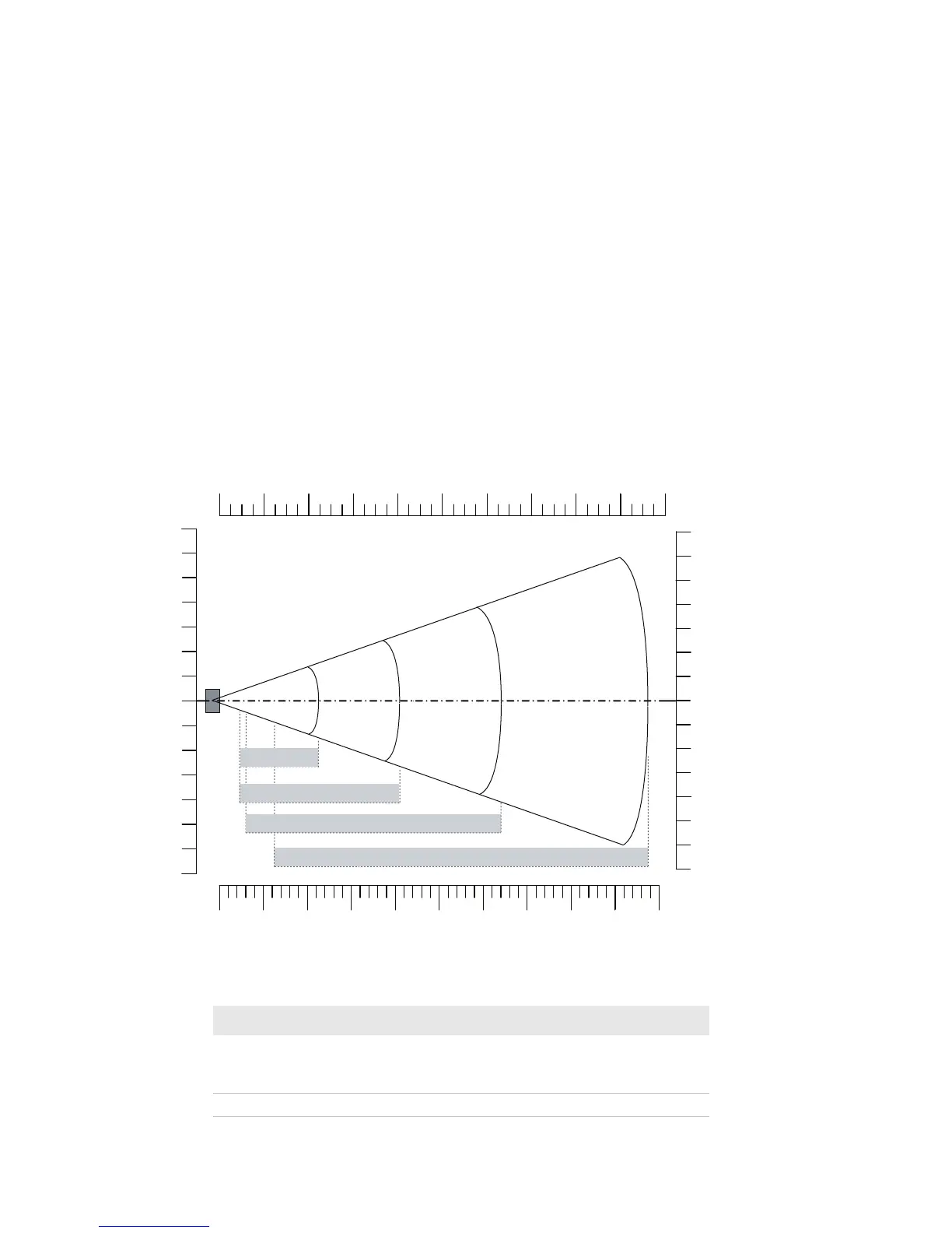
EA31 Extended Reading Range
These typical reading distances are measured in an office environment
(250 lux) for the EA31 standard model with Extended Reading Range
activated. Extended Reading Range is enabled by default.
EA31 Extended Reading Range







DN
NNNJMT
NNNJMT
JO
 



&"/61$
NNNJMT






EA31 Extended Reading Range Activated
Symbology Density Minimum Distance Maximum Distance
Code 39 0.125 mm/5 mils
0.50 mm/20 mils
1 mm/40 mils
4.50 cm/1.77 in
6.00 cm/2.36 in
12.50 cm/4.92 in
22.50 cm/8.86 in
64.00 cm/25.20 in
97.50 cm/38.39 in
EAN/UPC 100% 0.33 mm/13 mils 4.50 cm/1.77 in 41 cm/16.14 in

Table of Contents

Other manuals for Intermec CN51

Related product manuals