EasyManua.ls Logo

Rockwell Automation Allen-Bradley 1756-L61S

Rockwell Automation Allen-Bradley 1756-L61S
200 pages
To Next Page IconTo Next Page
To Next Page IconTo Next Page
To Previous Page IconTo Previous Page
To Previous Page IconTo Previous Page
Loading...
96 Rockwell Automation Publication IASIMP-QS005H-EN-P - April 2016
Chapter 3 GuardLogix® Controllers Logic Integration
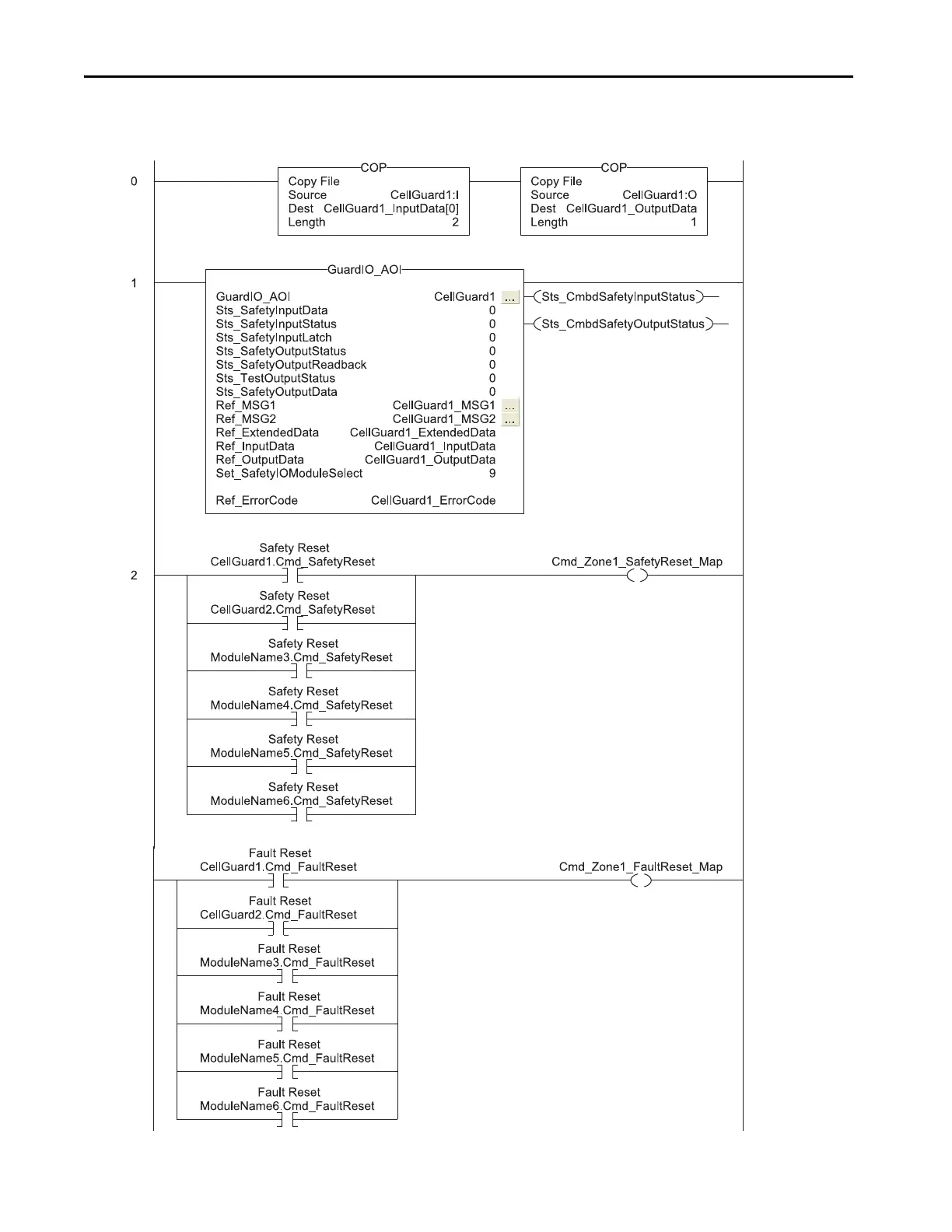
9. After the import is complete, the imported safety reset and fault reset logic rungs should look similar to rungs 2
and 3 in the example shown here.

Table of Contents