EasyManua.ls Logo

Sel 551 - Figure 3.27 Raise Pickup of Residual Ground Time-Overcurrent Element for Unbalance Current

Sel 551
268 pages
Print Icon
To Next Page IconTo Next Page
To Next Page IconTo Next Page
To Previous Page IconTo Previous Page
To Previous Page IconTo Previous Page
Loading...
3.45
Date Code 20110408 Instruction Manual SEL-551 Relay
Relay Elements and Logic
Demand Ammetering
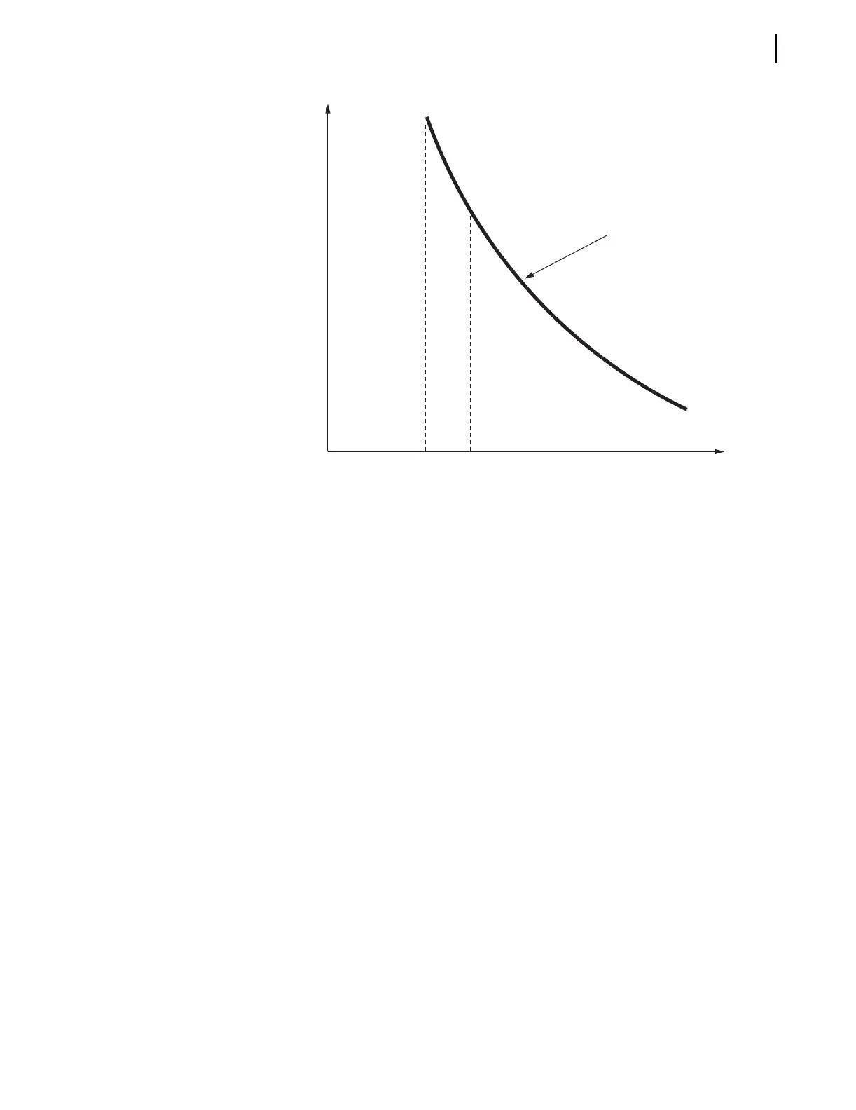
Figure 3.27 Raise Pickup of Residual Ground Time-Overcurrent Element for
Unbalance Current
Residual Ground Demand Current Below Pickup GDEMP
When unbalance current I
G
is low, unbalance demand current I
G(DEM)
is
below corresponding demand pickup GDEMP = 1.00 A secondary, and Relay
Word bit GDEM is deasserted to logical 0. This results in SEL
OGIC control
equation torque control setting 51G1TC being in the state:
51G1TC = !GDEM + GDEM * 50G1 = NOT(GDEM) + GDEM * 50G1
=NOT(logical 0) + (logical 0) * 50G1 = logical 1
Thus, the residual ground time-overcurrent element 51G1T operates on its
standard pickup:
51G1P = 1.50 A secondary
If a ground fault occurs, the residual ground time-overcurrent element 51G1T
operates with the sensitivity provided by pickup 51G1P = 1.50 A secondary.
The thermal demand ammeter, even with setting DMTC = 5 minutes, does not
respond fast enough to the ground fault to make a change to the effective
residual ground time-overcurrent element pickup—it remains at 1.50 A
secondary. Demand meters respond to more “slow moving” general trends.
Residual Ground Demand Current Goes Above Pickup GDEMP
When unbalance current I
G
increases, unbalance demand current I
G(DEM)
follows, going above corresponding demand pickup GDEMP = 1.00 A
secondary, and Relay Word bit GDEM asserts to logical 1. This results in
SEL
OGIC control equation torque control setting 51G1TC being in the state:
51G1TC = !GDEM + GDEM * 50G1 = NOT(GDEM) + GDEM * 50G1 =
NOT(logical 1) + (logical 1) * 50G1 = logical 0 + 50G1 = 50G1
51G1T
I
G
(Residual)
51G1P
= 1.50
t
50G1P
= 2.30

Table of Contents

Related product manuals