EasyManua.ls Logo

Siemens SINAMICS S120 - Page 380

Siemens SINAMICS S120
510 pages
To Next Page IconTo Next Page
To Next Page IconTo Next Page
To Previous Page IconTo Previous Page
To Previous Page IconTo Previous Page
Loading...
Options
8.11 K50, Sensor Module Cabinet-Mounted SMC30
Cabinet Modules NEMA
380 Manual, 04/2014, A5E03586450A
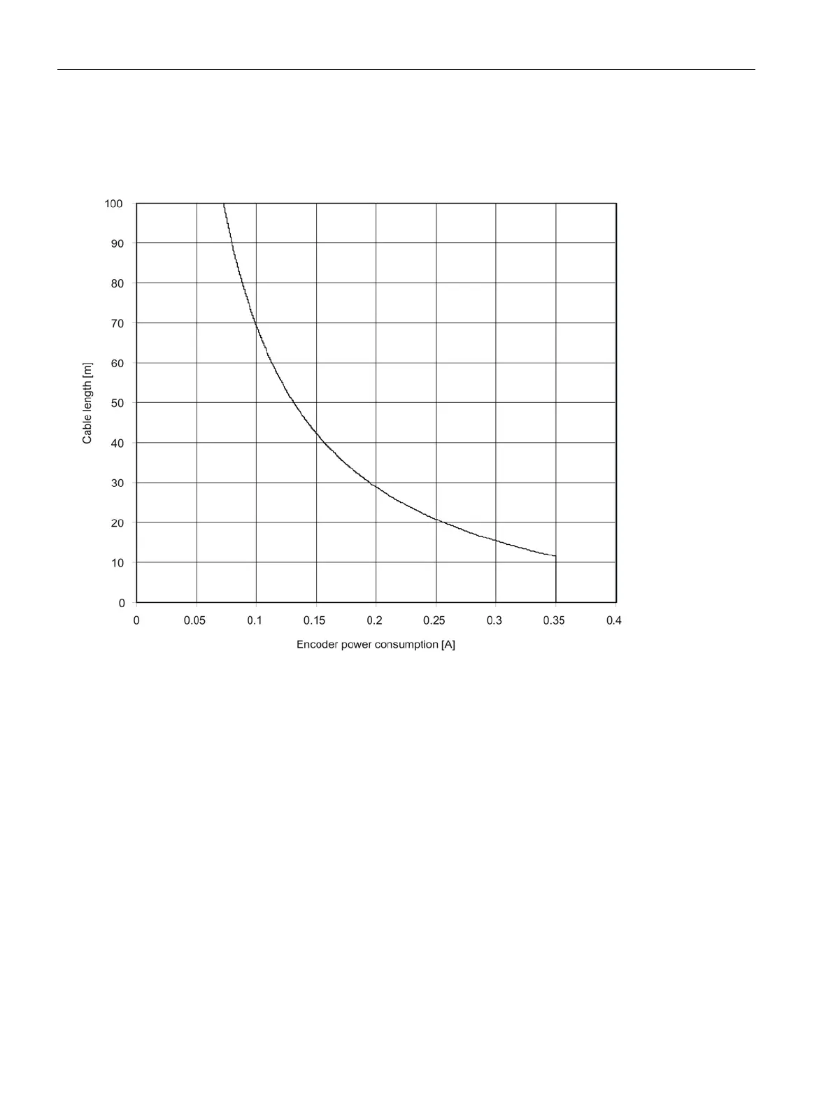
For encoders with a 5 V supply at X521/X531, the cable length is dependent on the encoder
current (this applies to cable cross-sections with #20 AWG (0.5 mm²)):
Figure 8-18 Signal cable length as a function of the encoder current consumption
For encoders without Remote Sense, the permissible cable length is restricted to 330 ft
(100 m) (reason: The voltage drop depends on the cable length and the encoder current).

Table of Contents

Other manuals for Siemens SINAMICS S120

Related product manuals